加法定理って何ですか?公式をまず教えてください
加法定理って何ですか?公式をまず教えてください
加法定理とは、2つの角の和・差の三角関数を、それぞれの角の三角関数で表す公式です。
加法定理とは、2つの角の和・差の三角関数を、それぞれの角の三角関数で表す公式です。
三角関数(sin、cos、tan)にはそれぞれ2つずつ、合計6つの加法定理があります。まずは公式を一覧で確認しましょう。
加法定理の6つの公式一覧
sinの加法定理:
cosの加法定理:
tanの加法定理:
どの公式を使えばいい?使い分けの指針
- 求めたい関数が sin → sinの加法定理を使う
- 求めたい関数が cos → cosの加法定理を使う
- 求めたい関数が tan → tanの加法定理を使う
シンプルですが、これが基本です。
具体例で確認してみよう
たとえば、 sin75° を求めたいときは、75° = 30° + 45° と分解して:
このように、特殊角(30°, 45°, 60° など)の組み合わせで表せる角度なら、加法定理を使って正確な値を求められます。
| 関数 | + の公式 | - の公式 |
|---|---|---|
| sin | ![]() |
![]() |
| cos | ![]() |
![]() |
| tan | ![]() |
![]() |
加法定理はなぜ必要か
三角関数には分配法則が使えないからです。
加法定理が必要な理由
多くの人が最初に間違えるのが、次のような計算です:
三角関数には分配法則が使えません。これが加法定理が必要な最大の理由です。
具体例で確認
たとえば:
もし分配法則が使えるなら:
しかし、三角関数の値は -1 から 1 の範囲なので、1.207 という値はあり得ません。
正しくは加法定理を使って:
このように、2つの角の和・差の三角関数を正しく計算するには、加法定理が不可欠なのです。
加法定理はどのくらい重要か
三角関数の公式の中で最も重要な「基礎中の基礎」です。
加法定理の重要性
加法定理は単なる計算公式ではなく、三角関数のほぼすべての公式の出発点です。
加法定理から導かれる公式
以下の重要公式は、すべて加法定理から導出されます:
- 1. 2倍角の公式:α = β として加法定理を適用
- 2. 半角の公式:2倍角の公式を変形
- 3. 3倍角の公式:加法定理を繰り返し使用
- 4. 積和の公式:加法定理を組み合わせる
- 5. 和積の公式:積和の公式を逆変形
つまり、加法定理さえしっかり覚えていれば、他の公式を忘れてもその場で導出できるということです。
応用範囲の広さ
加法定理は次のような問題で必須です:
- 三角関数の方程式・不等式
- 三角関数の最大値・最小値
- 三角関数の合成
- 微分・積分での三角関数の計算
- 波動や振動の物理問題
高校数学から大学入試、さらには物理や工学でも使い続ける、まさに「一生モノ」の公式なのです。
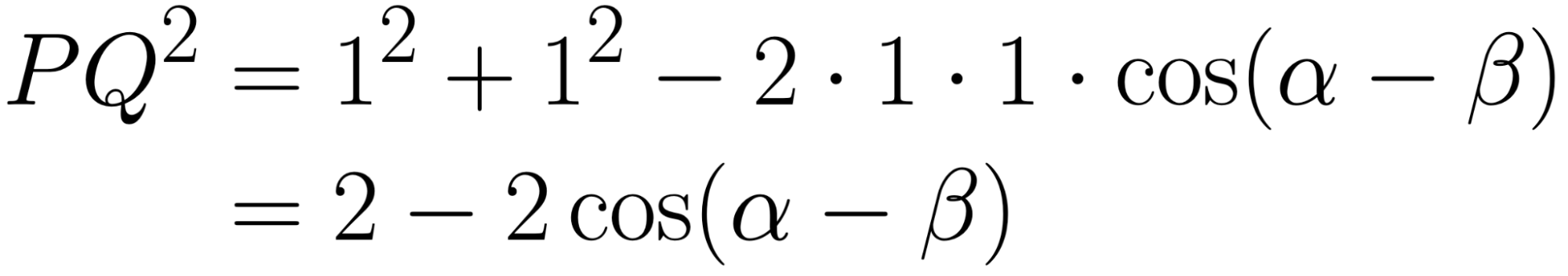
加法定理の証明方法
単位円を使った幾何学的な証明が最も視覚的でわかりやすいです。
単位円による cos(α - β) の証明
まずcos(α - β)を証明し、ここから他の公式を導きます。
ステップ1:単位円上に2点をとる
単位円上に次の2点を考えます:
- 点P:角 α の位置 → 座標(cos α, sin α)
- 点Q:角 β の位置 → 座標(cos β, sin β)
ステップ2:2点間の距離を2通りで表す
方法1(座標を使った距離の公式):
ここで cos2α + sin2α = 1、cos2β + sin2β = 1より:
方法2(余弦定理を使う):
角α - βに対応する弦の長さより:
ステップ3:2つの式を等しいとおく
両辺を整理すると:
証明完了!
他の公式の導き方
- cos(α + β):β を - β に置き換える
- sin(α ± β):
を利用して変形 - tan(α ± β):
を使い、sinとcosの加法定理を代入
このように、単位円を使えば加法定理を視覚的に理解し、証明できるのです。
sinの加法定理の覚え方
「サインコサイン、コサインサイン、符号そのまま」で覚えましょう。
sinの加法定理
覚え方1:語呂合わせ
「サインコサイン、コサインサイン」
- 最初の項:sin α cos β(サインコサイン)
- 次の項:cos α sin β(コサインサイン)
この順番を覚えるだけで、式の骨格が頭に入ります。
覚え方2:符号のルール
「符号そのまま」
- sin(α + β)→ 真ん中の符号も +
- sin(α - β)→ 真ん中の符号も -
sin の加法定理は、元の符号がそのまま式の中に現れるので覚えやすいです。
ポイント
sinの加法定理は符号が素直でわかりやすいので、最初にこれをしっかり覚えると、他の公式も理解しやすくなります。
cosの加法定理の覚え方
「コサインコサイン、サインサイン、符号反転」で覚えましょう。
cosの加法定理
覚え方1:語呂合わせ
「コサインコサイン、サインサイン」
- 最初の項:cos α cos β(コサインコサイン)
- 次の項:sin α sin β(サインサイン)
sinとは違って、同じもの同士が並ぶのが特徴です。
覚え方2:符号のルール
「符号反転」または「逆になる」
- cos(α + β) → 真ん中の符号は -(逆!)
- cos(α - β) → 真ん中の符号は +(逆!)
これがsinとの最大の違いです。cosは反抗的と覚えましょう。
sinとの比較
| 公式 | 項の組み合わせ | 符号 |
|---|---|---|
| sin | sin cos と cos sin(交互) | そのまま |
| cos | cos cos と sin sin(同じもの同士) | 反転 |
sin は「符号そのまま」、 cosは「符号反転」 という対比で覚えると、混乱しにくくなります。
tanの加法定理の覚え方
「分子は符号そのまま、分母は符号反転」で覚えましょう。
tanの加法定理
覚え方:分子と分母のルール
分子:「符号そのまま」
- tan(α + β) → 分子は tan α + tan β
- tan(α - β) → 分子は tan α - tan β
分母:「符号反転」
- tan(α + β) → 分母は 1 - tan α tan β(逆)
- tan(α - β) → 分母は 1 + tan α tan β(逆)
どうしても覚えられない場合の導出方法
tanの加法定理は、次の式から導出できます:
sinとcosの加法定理を代入して、分子分母を cosα cosβで割れば導出完了です。
ポイント
tanの加法定理はsinとcosの混合型です。分子は「素直」、分母は「反抗的」と覚えると、sinとcosの性質の中間であることがイメージできます。
加法定理の符号を間違えないコツ
「sinは素直、cosは反抗的、tanは混合」と覚えましょう。
符号のまとめ表
| 公式 | 元の符号 | 真ん中の符号 | 覚え方 |
|---|---|---|---|
sin(α β) |
![]() |
(そのまま) |
素直 |
cos(α β) |
![]() |
(反転) |
反抗的 |
tan(α β) |
— |
分子: (そのまま)分母: (反転)
|
混合 |
覚え方のコツ
-
1. sinは素直
符号がそのまま現れるので、最もシンプルです。 -
2. cosは反抗的
符号が反転するので、「逆らう」とイメージしましょう。 -
3. tanは混合
分子は素直、分母は反抗的という「いいとこ取り」です。
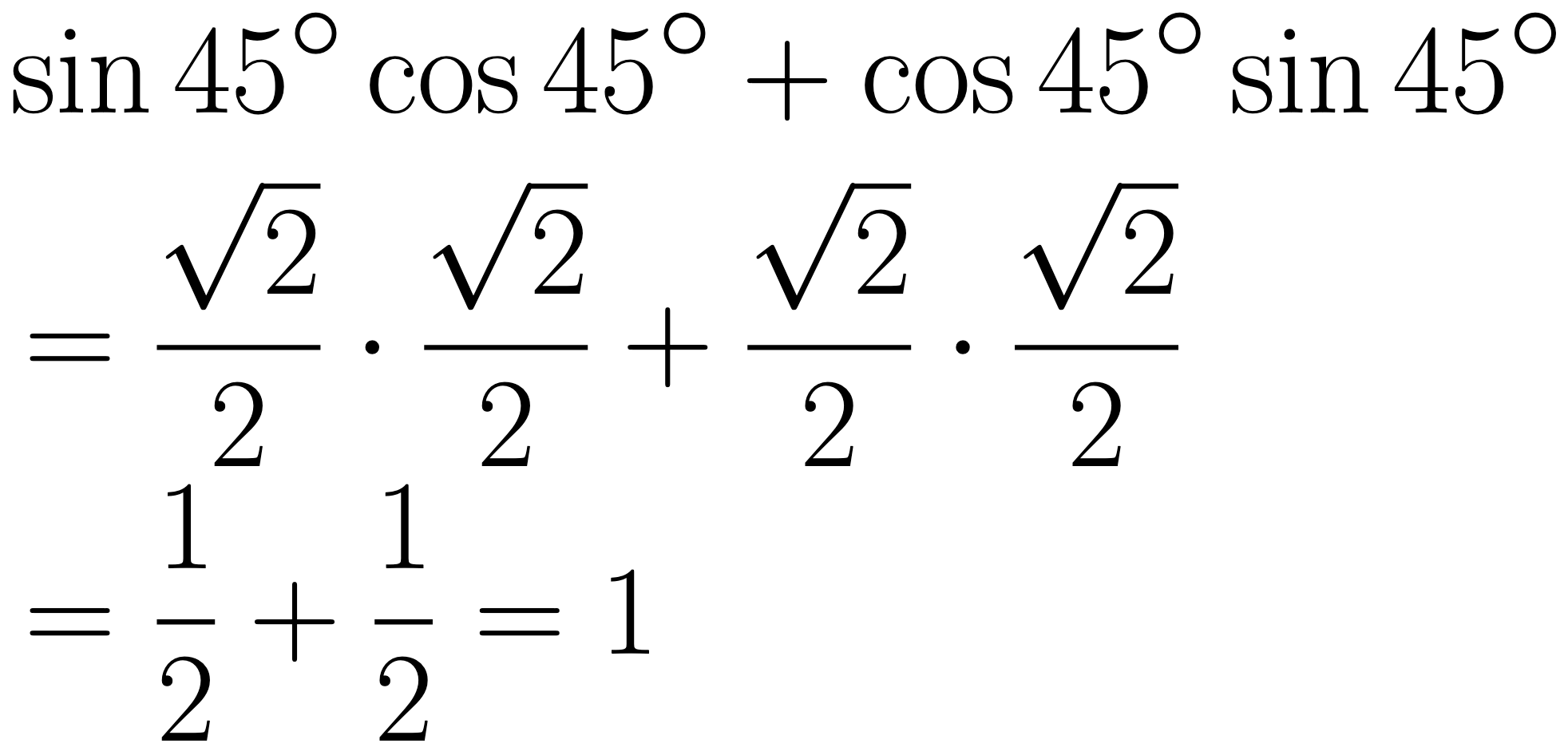
確認方法:具体的な角度で検算
覚えた公式が正しいか不安なときは、具体的な角度で確認しましょう。
例:45° + 45° = 90°で検証
一方、加法定理を使うと:
正しく一致しました!このように、特殊角で検算すると、公式の正しさを確認できます。
加法定理を使って角度の値を求める方法
特殊角(30°, 45°, 60° など)の和・差で表してから、加法定理を適用します。
基本方針
求めたい角度を、三角比の値がわかっている特殊角の組み合わせで表すことがポイントです。
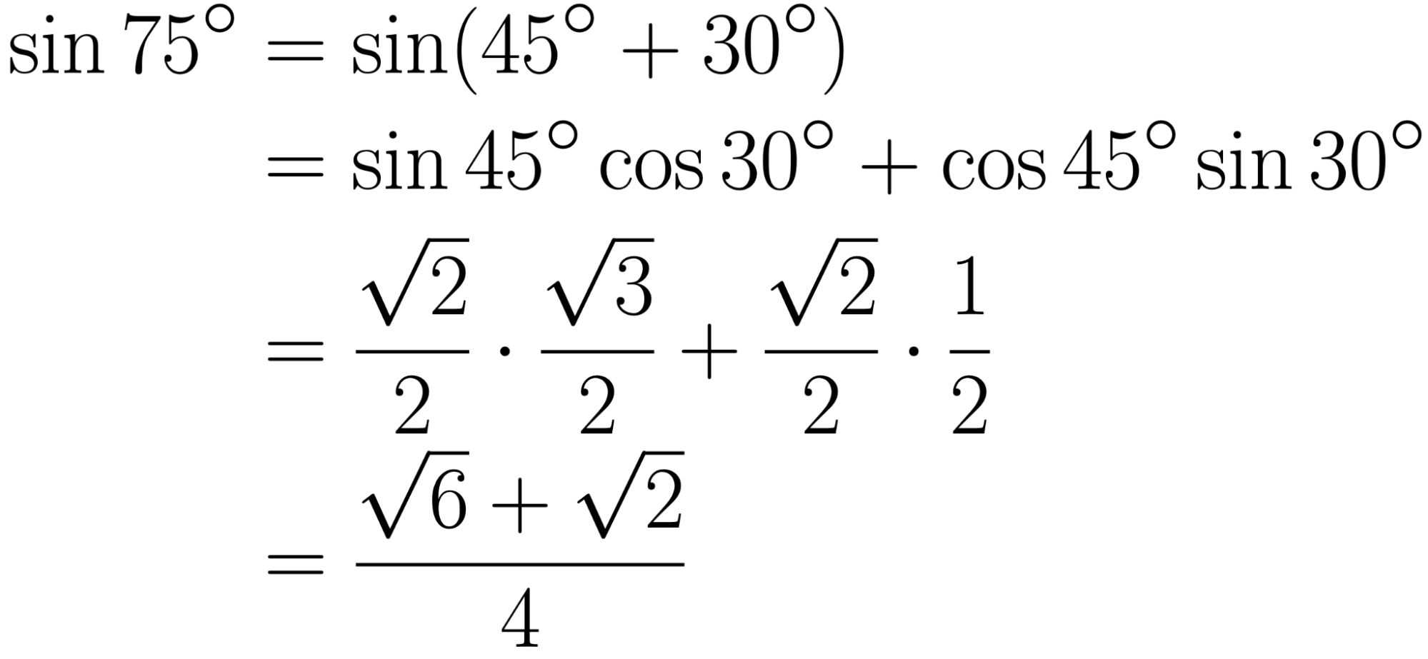
例題1: sin75°を求めよ
解法:
75° = 45° + 30° と分解します。
sinの加法定理を適用:
特殊角の値を代入:
答え:
例題2: cos15°を求めよ
解法:
15° = 45° - 30° と分解します。
cosの加法定理を適用:
特殊角の値を代入:
答え:
ポイント
- 75° = 45° + 30° や 15° = 45° - 30° のように、和や差で表せる組み合わせを見つける
- 特殊角の三角比は暗記しておく(または素早く導出できるようにする)
- 計算ミスを防ぐため、途中式を丁寧に書く
加法定理で式を展開する方法
のような式は、加法定理を使って sin x と cos x の形に展開できます。
例題:
を展開せよ
解法:
sin の加法定理を適用:
を代入:
でくくる:
答え:
(sin x + cos x)
応用例
このような展開は、次のような場面で活用します:
1. 三角関数の方程式を解くとき
展開してから sin x と cos x の連立方程式として解く、または別の手法と組み合わせます。
2. 式を簡単にするとき
複雑な角度を含む式を、基本的な sin x、cos x の形に変換して計算しやすくします。
3. 合成公式への変形
逆に、 a sin x + b cos x の形を R sin(x + α) の形にまとめる(三角関数の合成)際の逆操作としても使います。
ポイント
- 展開するときは、特殊角の三角比の値を正確に覚えておくことが重要
- 展開した後は、可能な限り因数分解やくくり出しで式を整理する
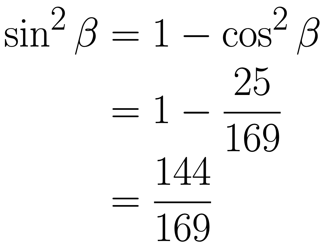
sin α などの値が与えられたとき、sin(α + β) を求めるには
まず不足している三角比を求めてから、加法定理を適用します。
例題:
のとき、sin(α + β) を求めよ。
解法
ステップ1:不足している値を求める
α について、cos α を求めます。
三角関数の相互関係より:
より cos α > 0 なので:
同様に、β について sinβ を求めます。
より sinβ > 0 なので:
ステップ2:加法定理を使う
値を代入:
答え:
ポイント
- 1. 三角関数の相互関係 sin2θ + cos2θ = 1 を使って、不足している値を求める
- 2. 角度の範囲(第何象限か)を確認して、正負を判断する
- 3. すべての値が揃ったら、加法定理に代入して計算
このパターンは入試でも頻出なので、手順をしっかり身につけましょう。
まとめ|加法定理の6つの公式と覚え方・応用方法のポイント
加法定理は三角関数の中で最も重要な公式です。ここまでの内容を振り返りましょう。
1. 加法定理は6つの公式
sin、cos、tanそれぞれに + と - の2つずつ、合計6つ
2. 覚え方の基本
- sin:「サインコサイン、コサインサイン」符号そのまま(素直)
- cos:「コサインコサイン、サインサイン」符号反転(反抗的)
- tan:分子は符号そのまま、分母は符号反転(混合)
3. 応用範囲が広い
- 2倍角、半角、三角関数の合成、積和・和積など、多くの公式の基礎
- 三角関数の方程式、最大値・最小値問題でも必須
4. 最重要の注意点
三角関数には分配法則が使えない!これが加法定理が必要な理由です。
学習のコツ
- まず sinとcosの加法定理 をしっかり覚える(tan は必要に応じて導出可能)
- 特殊角の三角比(30°, 45°, 60°)は瞬時に出せるようにする
- 具体的な角度で検算して、公式の正しさを確認する習慣をつける
加法定理の理解が深まると、三角関数全体が見通しよくなります。しかし、
- 「加法定理を使った応用問題が解けない」
- 「途中計算でミスしてしまう」
- 「自分の解答が正しいか不安」
といった壁に直面する高校生は多いです。そんなときに役立つのが進研ゼミのAI質問機能(お試し無料)。
数学のQ&Aランキング
- 【数列】Σの和の求め方
- 【関数と極限】∞+∞=∞とは
- 【三角関数】0<θ<π/4 の角に対する三角関数での表し方
- 【指数・対数関数】1/√aを(1/a)^r の形になおす方法
- 【図形と計量】180°-θの三角比
全体のQ&Aランキング
- 【動名詞】①<make + O + C >構文の訳し方②間接疑問文における疑問詞の訳し方
- 【数列】Σの和の求め方
- 【関数と極限】∞+∞=∞とは
- 【三角関数】0<θ<π/4 の角に対する三角関数での表し方
- 【指数・対数関数】1/√aを(1/a)^r の形になおす方法
「数と式」Q&A一覧
- 【数と式】「pならばq 」が真のとき,集合Pが集合Qに含まれる理由
- 【数と式】たすきがけのやり方について
- 【数と式】たすきがけはいつ使うのか
- 【数と式】ルートの中が「負の数の2乗」のときの,ルートのはずし方
- 【数と式】因数分解のしかた
- 【数と式】因数分解の式の整理について
- 【数と式】因数分解の式変形について
- 【数と式】因数分解をするときの途中式について
- 【数と式】対称式はどんなとき使うんですか?
- 【数と式】式変形するときの文字の置き換え方
- 【数と式】必要条件・十分条件
- 【数と式】文字を含む式の書き方
- 【数と式】無理数の整数部分,小数部分の求め方
- 【数と式】絶対値と場合分け
- 【数と式】絶対値記号の意味
- 【数と式】絶対値記号を含む方程式・不等式の解き方
- 【数と式】負の値の絶対値の考え方について
- 【数と式】逆・裏・対偶の関係
- 【数と式】連立不等式の解の求め方
- 【数と式】2重根号の計算
- 【数と式】有理数ってどんな数?分数で表せる数の見分け方と無理数との違いが知りたい
- 【数と式】因数分解の公式ってどれを使えばいいの?形の見分け方と“よく出る型”を教えて
- 【数と式】無理数ってどんな数?有理数との違いや身近な例も知りたい
- 【数と式】因数分解はどうやればいい?手順や考え方を知りたい
- 【数と式】命題とは?|定義や命題でない例を知りたい
- 【数と式】降べきの順って?xについてってどういうこと?
- 【数と式】三乗の展開公式は?符号や係数をまちがえずに計算するコツを教えて
- 【数と式】三次式の因数分解のやり方は?公式と因数定理する方法を知りたい
- 【数と式】二次方程式の解の公式は?使い方と判別式による解の判定を知りたい
- 【数と式】一次方程式の解き方がわからない!移項のコツと分数・小数の攻略まで例題で解説
- 【数と式】因数定理とは?──f(a)=0 ならば (x-a) は因数である定理の使い方を知りたい
- 【数と式】3次式の因数分解の方法は?──因数定理・公式・たすきがけの使い分けを知りたい









β)
(反転)











