外心とは?定義と意味を教えてください
外心とは?定義と意味を教えてください
外心とは、三角形の3つの頂点から等距離にある点で、外接円の中心となる点です。
外心とは、三角形の3つの頂点から等距離にある点で、外接円の中心となる点です。
外心は三角形の重要な点の1つで、「五心」と呼ばれる特別な点のうちの1つです。まずは外心の定義を確認しましょう。
外心の3つの定義(すべて同じ点を表す)
外心は以下の3つの方法で定義できますが、いずれも同じ点を指します:
定義1:3頂点から等距離にある点
△ABCの外心をOとすると、Oから各頂点までの距離が等しい。
定義2:外接円(3頂点を通る円)の中心
三角形の3つの頂点すべてを通る円を外接円といい、その中心が外心。
定義3:3辺の垂直二等分線の交点
三角形の各辺の垂直二等分線を引くと、1点で交わる。その交点が外心。
外心の記号
通常、外心は点Oで表します。外接円の半径を R とすると:
他の五心との違い
三角形には「五心」と呼ばれる5つの特別な点があります:
| 名称 | 定義 | 特徴 |
|---|---|---|
| 外心 | 外接円の中心 | 3頂点から等距離 |
| 内心 | 内接円の中心 | 3辺から等距離 |
| 重心 | 中線の交点 | 質量の中心 |
| 垂心 | 高さ(垂線)の交点 | 各頂点から対辺への垂線の交点 |
| 傍心 | 傍接円の中心 | 3つ存在する |
具体例で確認
正三角形の場合:
外心は三角形の中心に位置し、重心・内心・垂心とも一致する特別な三角形です。
直角三角形の場合:
外心は斜辺の中点に位置します。これは直角三角形の重要な性質の1つです。
外心の定義と基本性質
外心は「3頂点から等距離」「外接円の中心」「垂直二等分線の交点」という3つの等価な定義を持ちます。
外心の性質と特徴
外心の数学的定義を正確に理解しましょう。以下の3つの定義は、すべて同じ点を表しています。
定義1:3頂点から等距離
△ABCの外心Oは、3つの頂点A, B, Cから等しい距離にある点:
(Rは外接円の半径)
定義2:外接円の中心
三角形の3つの頂点すべてを通る円を外接円といい、その中心が外心です。どんな三角形にも、必ず1つだけ外接円が存在します。
定義3:垂直二等分線の交点
三角形の3辺それぞれの垂直二等分線は1点で交わり、その交点が外心です。
- 辺ABの垂直二等分線上の点は、AとBから等距離
- 辺BCの垂直二等分線上の点は、BとCから等距離
- これらの交点は、A, B, Cすべてから等距離 → これが外心
重要な性質
- 唯一性:外心は必ず1つだけ存在する
- 等距離性:外心から各頂点までの距離は外接円の半径に等しい
- 3本の垂直二等分線:3辺の垂直二等分線は必ず1点(外心)で交わる
外接円と外心との関係
外接円の定義:
三角形の3つの頂点すべてを通る円を外接円といいます。どんな三角形にも必ず1つだけ外接円が存在します。
外接円と外心の関係:
- 外接円の中心 = 外心
- 外接円の半径 = 外心から各頂点までの距離
外接円の半径 R:
正弦定理より:
ここから外接円の半径 R を求められます:
(a, b, c は各辺の長さ、A, B, C は各角の大きさ)
この関係式は、外心と正弦定理を結びつける重要な公式です。
外心の作図方法
外心は、三角形の2辺の垂直二等分線を引き、その交点として求められます。
垂直二等分線で外心を求める方法
作図の原理:
- 線分ABの垂直二等分線上の点は、AとBから等距離
- 線分BCの垂直二等分線上の点は、BとCから等距離
- この2つの垂直二等分線の交点は、A, B, Cすべてから等距離 = 外心
作図手順:
ステップ1:2辺を選ぶ
例えば、辺ABと辺BCを選びます。
ステップ2:1本目の垂直二等分線を引く
- 辺ABの中点を求める
- 中点を通りABに垂直な直線を引く
ステップ3:2本目の垂直二等分線を引く
- 辺BCの中点を求める
- 中点を通りBCに垂直な直線を引く
ステップ4:交点が外心
2本の垂直二等分線の交点がO(外心)
重要:3本目の垂直二等分線(辺CAの)も必ず同じ点Oを通ります。これは外心の性質から保証されています。
コンパスと定規で外心を作図する方法
コンパスと定規を使った具体的な作図手順を説明します。
垂直二等分線の作図方法(辺ABの場合):
ステップ1:コンパスで、点Aを中心に半径AB以上の円弧を描く
ステップ2:同じ半径で、点Bを中心に円弧を描く(2つの円弧が2か所で交わります)
ステップ3:2つの交点を直線で結ぶ→ これがABの垂直二等分線
ステップ4:別の辺(例:BC)でも同様に垂直二等分線を作図
ステップ5:2本の垂直二等分線の交点が外心O
ステップ6:Oを中心に、半径OA(= OB = OC)の円を描くと外接円
この方法を使えば、コンパスと定規だけで正確に外心と外接円を作図できます。
フリーハンドで円に内接する三角形を描くときは、先に円を描いてから、三角形の各頂点が演習場になるように描くと描きやすい。
三角形の種類による外心の位置
三角形が鋭角・直角・鈍角のどれかによって、外心の位置は大きく変わります。
鋭角三角形の場合
鋭角三角形の特徴:
3つの角がすべて90°未満の三角形。
外心の位置:
鋭角三角形では、外心は三角形の内部にあります。
理由:
- すべての角が鋭角のとき、各辺の垂直二等分線は三角形の内部で交わります
- 外接円の半径は比較的小さくなります
具体例:
正三角形(すべて60°)では、外心は三角形の中心に位置します。正三角形は鋭角三角形の代表例です。
直角三角形の場合
直角三角形の外心の位置:
直角三角形では、外心は斜辺の中点にあります。
これは直角三角形の最も重要な性質の1つです。
証明:
直角三角形ABCで、∠C=90°とします。
- 1. 斜辺ABの中点をMとすると、Mから3頂点までの距離が等しくなります
- 2. MA = MB(中点の定義)
- 3.
(直角三角形の性質:斜辺の中点から直角の頂点までの距離は斜辺の半分) - 4. よって MA = MB = MC → M が外心
重要な性質:
直角三角形の外接円の直径 = 斜辺の長さ
(c は斜辺)
応用:
円に内接する三角形で、1辺が直径なら、その対角は直角になります(タレスの定理の逆)。
鈍角三角形の場合
鈍角三角形の特徴:
1つの角が90°より大きい三角形。
外心の位置:
鈍角三角形では、外心は三角形の外部にあります(鈍角の反対側)。
理由:
- 各辺の垂直二等分線は三角形の外部で交わります
- 外接円の半径は比較的大きくなります
確認方法:
最大角が90°より大きいかどうかで、鈍角三角形かどうかを判定できます。
特殊な三角形での外心
正三角形の場合:
- 外心、内心、重心、垂心がすべて同一点(中心)に一致します
- 外接円の半径:
(a は1辺の長さ)
二等辺三角形の場合:
- 外心は対称軸上にあります
- 底辺の垂直二等分線と対称軸が一致します
- 頂角の二等分線上にも外心があります
| 三角形の種類 | 外心の位置 | 特徴 |
|---|---|---|
| 鋭角三角形 | 内部 | すべての角が90°未満 |
| 直角三角形 | 斜辺の中点 | 1つの角が90° |
| 鈍角三角形 | 外部 | 1つの角が90°より大きい |
| 正三角形 | 中心 | 外心、内心、重心、垂心がすべて同一点 |
外心の座標を計算で求める方法
3頂点の座標が与えられた場合、連立方程式を解いて外心の座標を求めることができます。
外心を座標で求める方法(連立方程式の活用)
基本方針:
外心O (x, y) は3頂点から等距離なので:
この等式から連立方程式を立てて解きます。
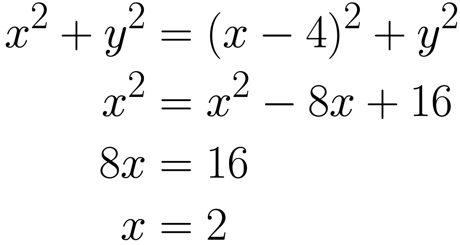
例題:A (0, 0), B (4, 0), C (0, 3)の三角形の外心を求めよ。
解法:
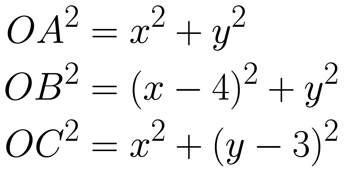
ステップ1:外心O (x, y)とすると:
ステップ2:OA2 = OB2より:
ステップ3:OA2 = OC2より:
答え:外心
この三角形は直角三角形(∠A = 90°)なので、外心は斜辺BCの中点になっています。実際、BCの中点は (
,
)=(2,
)で一致します。
座標を使った外心の計算例
もう少し複雑な例で、計算の流れを詳しく見てみましょう。
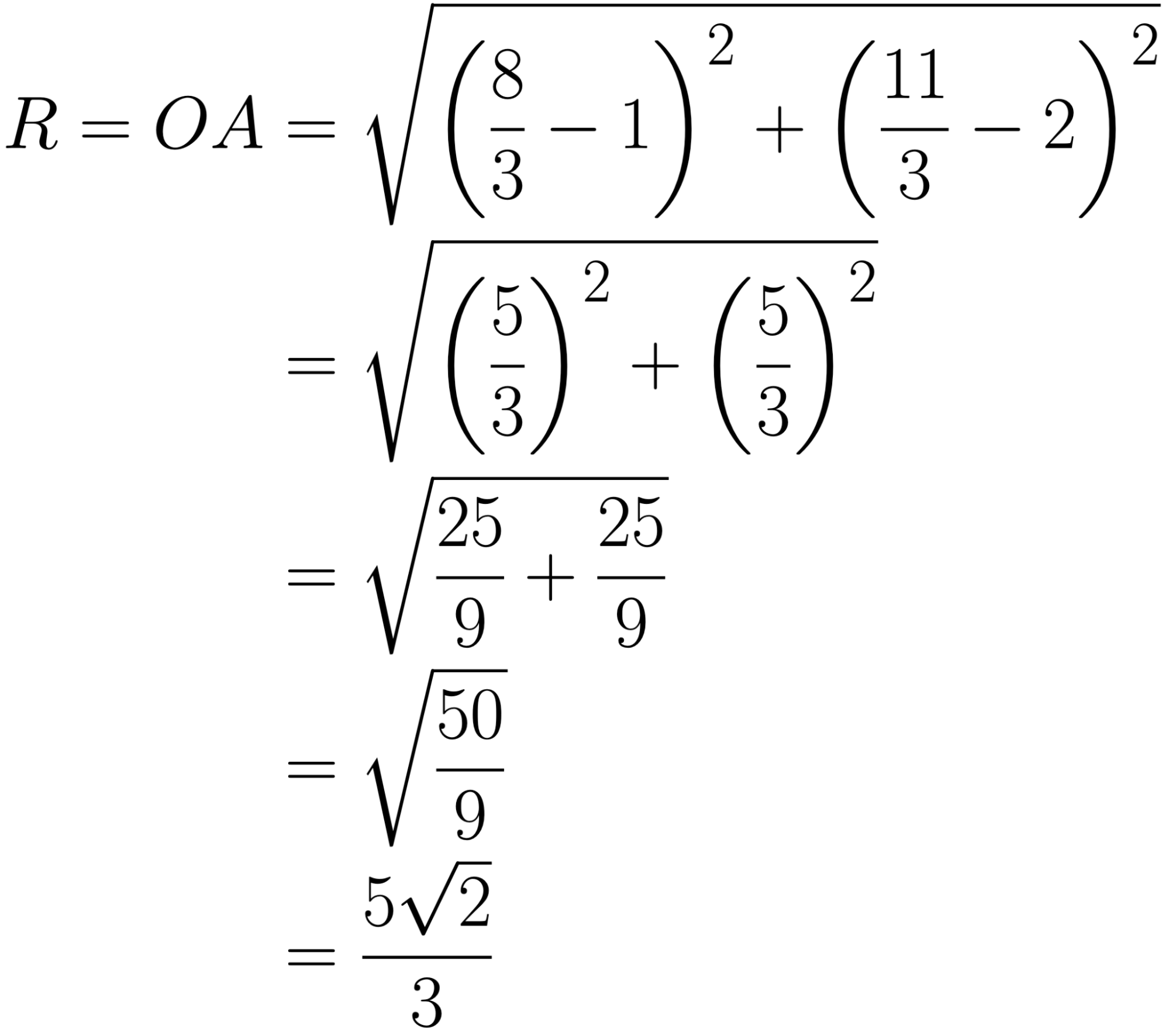
例題:A (1, 2), B (5, 4), C (3, 6) の三角形の外心と外接円の半径を求めよ。
解法:
ステップ1:外心を
とする
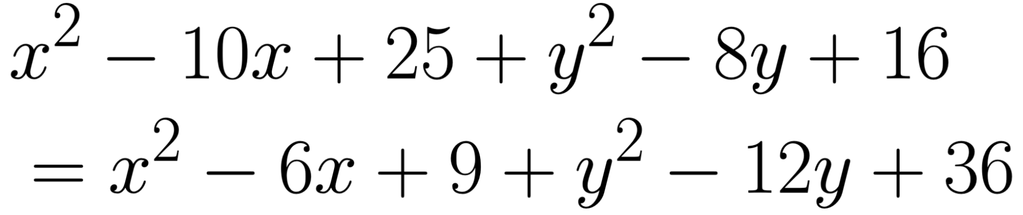
ステップ2:OA2 = OB2より
展開して整理:
これを①とします。
ステップ3:OB2 = OC2より
展開して整理:
これを②とします。
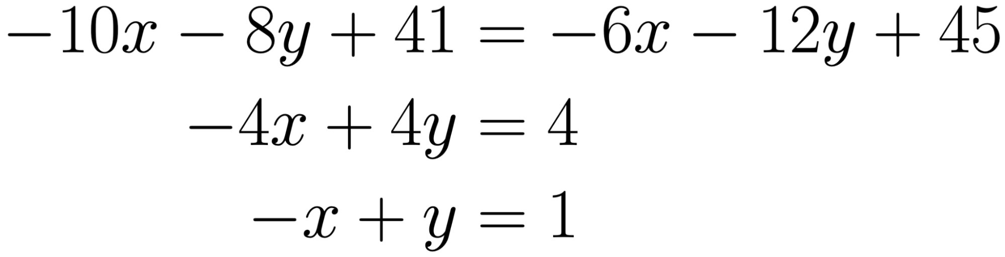
ステップ4:①と②を解く
①:2x + y = 9、②:-x + y = 1、①-②:3x = 8より
②に代入:
外心:
ステップ5:外接円の半径を求める
外接円の半径:
ポイント:計算ミスを防ぐため、途中式を丁寧に書き、展開や整理の各段階を確認しましょう。
まとめ|外心の性質・作図・座標のポイント
外心は三角形の重要な点の1つです。ここまでの内容を振り返りましょう。
1. 外心の定義
- 外心は3頂点から等距離にある点 = 外接円の中心
- 3つの等価な定義:① 3頂点から等距離、② 外接円の中心、③ 垂直二等分線の交点
2. 作図方法
- 2辺の垂直二等分線の交点として求める
- コンパスと定規で正確に作図可能
- 3本目の垂直二等分線も必ず同じ点を通る
3. 外心の位置
| 三角形の種類 | 外心の位置 |
|---|---|
| 鋭角三角形 | 内部 |
| 直角三角形 | 斜辺の中点 |
| 鈍角三角形 | 外部(鈍角の反対側) |
4. 正弦定理との関係
(R は外接円の半径、 Aは角の大きさ、a は角Aの対辺の長さ)
5. 座標計算
- 外心の座標をO (x, y)とし、OA2 = OB2 = OC2 から連立方程式を立てる
- 2つの等式から x, y を求める
- 求めた座標から外接円の半径も計算可能
学習のコツ
- 外心の3つの定義をしっかり理解し、問題に応じて使い分ける
- 三角形の種類によって外心の位置が変わることを覚える
- 作図と計算の両方の方法をマスターする
- 正弦定理と外接円の半径の関係を押さえる
外心の理解が深まると、三角形の性質全体が見通しよくなります。しかし、
- 「外心と他の五心の違いが混乱する」
- 「座標計算で途中でミスしてしまう」
- 「作図がうまくできない」
といった壁に直面する高校生は多いです。そんなときに役立つのが進研ゼミのAI質問機能(お試し無料)。
数学のQ&Aランキング
- 【数列】Σの和の求め方
- 【関数と極限】∞+∞=∞とは
- 【三角関数】0<θ<π/4 の角に対する三角関数での表し方
- 【指数・対数関数】1/√aを(1/a)^r の形になおす方法
- 【図形と計量】180°-θの三角比
全体のQ&Aランキング
- 【動名詞】①<make + O + C >構文の訳し方②間接疑問文における疑問詞の訳し方
- 【数列】Σの和の求め方
- 【関数と極限】∞+∞=∞とは
- 【三角関数】0<θ<π/4 の角に対する三角関数での表し方
- 【指数・対数関数】1/√aを(1/a)^r の形になおす方法
「数と式」Q&A一覧
- 【数と式】「pならばq 」が真のとき,集合Pが集合Qに含まれる理由
- 【数と式】たすきがけのやり方について
- 【数と式】たすきがけはいつ使うのか
- 【数と式】ルートの中が「負の数の2乗」のときの,ルートのはずし方
- 【数と式】因数分解のしかた
- 【数と式】因数分解の式の整理について
- 【数と式】因数分解の式変形について
- 【数と式】因数分解をするときの途中式について
- 【数と式】対称式はどんなとき使うんですか?
- 【数と式】式変形するときの文字の置き換え方
- 【数と式】必要条件・十分条件
- 【数と式】文字を含む式の書き方
- 【数と式】無理数の整数部分,小数部分の求め方
- 【数と式】絶対値と場合分け
- 【数と式】絶対値記号の意味
- 【数と式】絶対値記号を含む方程式・不等式の解き方
- 【数と式】負の値の絶対値の考え方について
- 【数と式】逆・裏・対偶の関係
- 【数と式】連立不等式の解の求め方
- 【数と式】2重根号の計算
- 【数と式】有理数ってどんな数?分数で表せる数の見分け方と無理数との違いが知りたい
- 【数と式】因数分解の公式ってどれを使えばいいの?形の見分け方と“よく出る型”を教えて
- 【数と式】無理数ってどんな数?有理数との違いや身近な例も知りたい
- 【数と式】因数分解はどうやればいい?手順や考え方を知りたい
- 【数と式】命題とは?|定義や命題でない例を知りたい
- 【数と式】降べきの順って?xについてってどういうこと?
- 【数と式】三乗の展開公式は?符号や係数をまちがえずに計算するコツを教えて
- 【数と式】三次式の因数分解のやり方は?公式と因数定理する方法を知りたい
- 【数と式】二次方程式の解の公式は?使い方と判別式による解の判定を知りたい
- 【数と式】一次方程式の解き方がわからない!移項のコツと分数・小数の攻略まで例題で解説
- 【数と式】因数定理とは?──f(a)=0 ならば (x-a) は因数である定理の使い方を知りたい
- 【数と式】3次式の因数分解の方法は?──因数定理・公式・たすきがけの使い分けを知りたい












