確率の基本的な求め方を教えてください
確率の基本的な求め方を教えてください
確率は「目的の場合の数÷すべての場合の数」で求められます。
確率は「目的の場合の数÷すべての場合の数」で求められます。
確率を求めるには、基本公式を使います。まずはこの公式をしっかり覚えましょう。
確率の基本公式
この公式が確率計算の出発点です。
確率を求める3ステップ
- ステップ1:すべての場合の数を数える(分母)
- ステップ2:目的の事象が起こる場合の数を数える(分子)
- ステップ3:割り算する(分子÷分母)
確率の範囲
確率は必ず0から1の間の値になります:
| 確率の値 | 意味 | 例 |
|---|---|---|
| 1 | 必ず起こる | サイコロで1〜6のどれかが出る |
| 0.5 | 半々 | コインで表が出る |
| 0 | 絶対に起こらない | 普通のサイコロで7が出る |
身近な例で確認
例:サイコロで偶数が出る確率
ステップ1:すべての場合の数
サイコロの目:{1, 2, 3, 4, 5, 6} → 6通り
ステップ2:偶数が出る場合の数
偶数の目:{2, 4, 6} → 3通り
ステップ3:確率を計算
P(偶数) =
= 
確率の意味と基本概念
確率とは、ある事象が起こる可能性を0から1の数値で表したものです。
確率の定義
確率の意味:
何かを試したとき、特定の結果が起こる「起こりやすさ」を0から1の数で表したものです。
確率の値の意味:
- 確率 = 0:絶対に起こらない(例:普通のサイコロで7が出る)
- 確率 = 0.5:起こるか起こらないか半々(例:コインで表が出る)
- 確率 = 1:必ず起こる(例:サイコロで1〜6のどれかが出る)
確率の範囲:
確率は必ずこの範囲に収まります。もし計算結果がこの範囲外になったら、計算ミスがあると考えられます。
試行・事象・標本空間とは?それぞれの意味と違いを整理
確率を学ぶ上で重要な用語を整理しましょう。
基本用語:
| 用語 | 意味 | 例(サイコロの場合) |
|---|---|---|
| 試行 | 実験や観察を行うこと | サイコロを振ること |
| 標本空間 | すべての根元事象の集合 | {1, 2, 3, 4, 5, 6} |
| 根元事象 | それ以上分けられない1つの結果 | 「3が出る」 |
| 事象 | 試行の結果として起こりうること | 「偶数が出る」={2, 4, 6} |
例:サイコロを1回振る場合
- 試行:サイコロを振ること
- 標本空間:{1, 2, 3, 4, 5, 6}
- 根元事象:「1が出る」「2が出る」など(6個)
- 事象:「偶数が出る」= {2, 4, 6}
基本的な確率の求め方
同様に確からしい場合、確率は「目的の根元事象の数÷すべての根元事象の数」で求めます。
同様に確からしい場合の確率の求め方と例題
同様に確からしいとは:
どの根元事象も起こる可能性が等しいこと。
例:
- 正しいサイコロ:1〜6のどれも 1/6 ずつ
- 正しいコイン:表も裏も 1/2 ずつ
この場合の確率の求め方:
例題:サイコロを1回振るとき、3以下の目が出る確率は?
解法:
ステップ1:すべての場合
{1, 2, 3, 4, 5, 6} → 6通り
ステップ2:3以下の目
{1, 2, 3} → 3通り
ステップ3:確率を計算
P(3以下) =
= 
答え:
確率を求めるための場合の数の数え方
場合の数を正確に数えることが、確率計算の基本です。以下の3つの方法を使い分けましょう。
3つの整理方法:
| 方法 | 使う場面 | 特徴 |
|---|---|---|
| 樹形図 | 2段階以上の試行 | 枝分かれで場合を整理 |
| 表 | 2つの試行の組み合わせ | 2つのサイコロなど |
| リスト(列挙) | 少数の場合 | すべての場合を書き出す |
例:コインを2回投げる場合(樹形図で整理)
1回目 2回目 結果
表 ─── 表 (表,表)
表 ─── 裏 (表,裏)
裏 ─── 表 (裏,表)
裏 ─── 裏 (裏,裏)
すべての場合:4通り
注意点:
漏れがないか確認
重複して数えていないか確認
基本的な確率の例
例題1:コインを2回投げるとき、少なくとも1回表が出る確率は?
解法:
すべての場合:
(表,表), (表,裏), (裏,表), (裏,裏) → 4通り
少なくとも1回表:
(表,表), (表,裏), (裏,表) → 3通り
確率:
例題2:1から9までの数字が書かれたカードから1枚引くとき、3の倍数が出る確率は?
解法:
すべての場合:
1〜9 → 9通り
3の倍数:
{3, 6, 9} → 3通り
確率:
和の法則・積の法則を使った確率の求め方
「または」なら和の法則、「かつ」なら積の法則を使います。
「または」の確率(和の法則)
事象Aまたは事象Bが起こる確率を求める方法です。
和の法則(一般形):
(∪ は「または」、∩ は「かつ」を表す記号)
排反事象の場合:
事象Aと事象Bが同時に起こらない(排反)とき:
例題:サイコロを1回振るとき、2の倍数または3の倍数が出る確率は?
解法:
2の倍数:{2, 4, 6} → P(A) = 
3の倍数:{3, 6} → P(B) = 
両方(6):{6} → P(A ∩ B) = 
求める確率:

重要:6は2の倍数でもあり3の倍数でもあるので、重複して数えないように引きます。
「かつ」の確率(積の法則)
事象Aと事象Bが両方起こる確率を求める方法です。
積の法則(独立な場合):
2つの事象が独立(一方の結果が他方に影響しない)のとき:
例題:コインを2回投げるとき、2回とも表が出る確率は?
解法:
1回目が表:P(A) = 
2回目が表:P(B) = 
2回とも表:
=
×
=
注意:独立でない場合(例:カードを戻さずに引く)は、条件付き確率を使います。これは後で学習する内容です。
排反事象とは?意味と確率の求め方
排反事象とは:
2つの事象AとBが同時に起こり得ないこと。つまりA ∩ B = ∅(空集合)。
排反事象の確率:
※先ほどの復習
例題:サイコロで偶数または奇数が出る確率
偶数:{2, 4, 6} → P(A) = 
奇数:{1, 3, 5} → P(B) = 
偶数と奇数は排反なので:
=
+
=
= 1
どのサイコロの目も、偶数か奇数のどちらかなので、確率は1(必ず起こる)になります。
判定方法:「同時に起こり得るか?」を確認します。
- 偶数と奇数 → 同時に起こり得ない → 排反
- 2の倍数と3の倍数 → 6は両方 → 排反ではない
順列・組合せを使った確率の計算方法
順序が重要なら順列、順序が関係なければ組合せを使います。
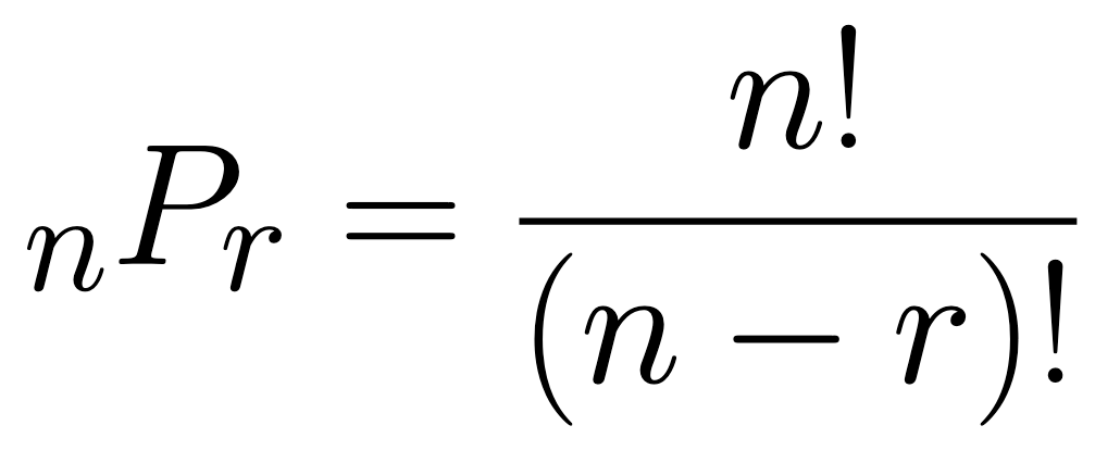
順列を使う場合
順列を使う場面:
- 並び順が違えば別のものとして数える
- 「何番目」「順位」などの言葉がある
順列の公式:
n個からr個を選んで並べる方法の数
例題:5人から代表3人を選んで、1番目、2番目、3番目に並べる方法は何通りか?
解法:
確率への応用:
全体の場合の数と目的の場合の数を順列で求めて割ります。
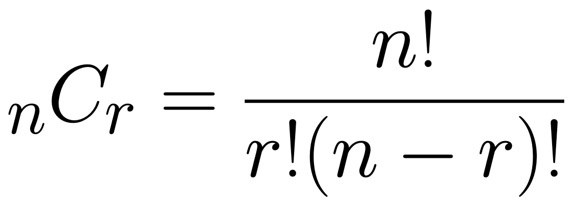
組合せを使う場合
組合せを使う場面:
- 選ぶだけで順序は関係ない
- 「選ぶ」「取り出す」などの言葉がある
組合せの公式:
n 個からr 個を選ぶ方法の数
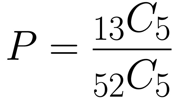
例題:52枚のトランプから5枚引くとき、すべてスペードである確率は?
解法:
すべての場合:
すべてスペード:
スペードは13枚あるので、
確率:
(実際の計算では約分できます)
順列と組合せの違いと見分け方
判定フローチャート:
質問1:順序(並び順)は関係あるか?
YES → 順列
を使う
NO → 次へ
質問2:選ぶだけ?
YES → 組合せ
を使う
具体例での判断:
| 問題文 | 順序 | 使う公式 |
|---|---|---|
| 「3人を1列に並べる」 | あり | 順列 |
| 「3人を選ぶ」 | なし | 組合せ |
| 「金メダル、銀メダル、銅メダルを決める」 | あり | 順列 |
| 「委員3人を選ぶ」 | なし | 組合せ |
余事象を使った確率の求め方
「少なくとも1つ」などの問題では、余事象を使うと簡単に解けます。
余事象の活用
余事象とは:
事象Aの余事象
は「Aが起こらない」という事象です。
余事象の法則:
余事象が有効な場面:
- 「少なくとも1つ〜」
- 「1回以上〜」
- 直接数えると場合分けが複雑
例題:サイコロを2回振るとき、少なくとも1回は6が出る確率は?
解法(余事象を使う):
余事象は「2回とも6が出ない」
1回目に6が出ない:
2回目に6が出ない:
2回とも6が出ない:
少なくとも1回6が出る:
答え:
ポイント:「少なくとも」という言葉を見たら、余事象を検討しましょう。多くの場合、計算が大幅に簡単になります。
まとめ|確率の基本公式と解法の使い分けのポイント
確率の計算方法を振り返りましょう。
1. 基本公式

2. 解法選択
| 問題のタイプ | 使う法則 | 公式 |
|---|---|---|
| 「または」 | 和の法則 | P(A ∪ B) |
| 「かつ」 | 積の法則 | P(A ∩ B) |
| 「少なくとも」 | 余事象 | ![]() |
| 順序あり | 順列 | ![]() |
| 順序なし | 組合せ | ![]() |
3. 注意点
- 場合の数の漏れ・重複に注意
- 独立性の確認(積の法則を使うとき)
- 約分を忘れずに
- 計算結果が
の範囲内か確認
4. 解法のコツ
- 複雑な問題はまず余事象を検討
- 樹形図や表で視覚化
- 「または」「かつ」「少なくとも」などのキーワードに注目
確率の理解が深まると、日常生活での判断にも役立ちます。しかし、
- 「場合の数を数え間違えてしまう」
- 「順列と組合せの使い分けが分からない」
- 「複雑な問題でどの公式を使えばいいか迷う」
といった壁に直面する高校生は多いです。そんなときに役立つのが進研ゼミのAI質問機能(お試し無料)。
数学のQ&Aランキング
- 【数列】Σの和の求め方
- 【関数と極限】∞+∞=∞とは
- 【三角関数】0<θ<π/4 の角に対する三角関数での表し方
- 【指数・対数関数】1/√aを(1/a)^r の形になおす方法
- 【図形と計量】180°-θの三角比
全体のQ&Aランキング
- 【動名詞】①<make + O + C >構文の訳し方②間接疑問文における疑問詞の訳し方
- 【数列】Σの和の求め方
- 【関数と極限】∞+∞=∞とは
- 【三角関数】0<θ<π/4 の角に対する三角関数での表し方
- 【指数・対数関数】1/√aを(1/a)^r の形になおす方法
「数と式」Q&A一覧
- 【数と式】「pならばq 」が真のとき,集合Pが集合Qに含まれる理由
- 【数と式】たすきがけのやり方について
- 【数と式】たすきがけはいつ使うのか
- 【数と式】ルートの中が「負の数の2乗」のときの,ルートのはずし方
- 【数と式】因数分解のしかた
- 【数と式】因数分解の式の整理について
- 【数と式】因数分解の式変形について
- 【数と式】因数分解をするときの途中式について
- 【数と式】対称式はどんなとき使うんですか?
- 【数と式】式変形するときの文字の置き換え方
- 【数と式】必要条件・十分条件
- 【数と式】文字を含む式の書き方
- 【数と式】無理数の整数部分,小数部分の求め方
- 【数と式】絶対値と場合分け
- 【数と式】絶対値記号の意味
- 【数と式】絶対値記号を含む方程式・不等式の解き方
- 【数と式】負の値の絶対値の考え方について
- 【数と式】逆・裏・対偶の関係
- 【数と式】連立不等式の解の求め方
- 【数と式】2重根号の計算
- 【数と式】有理数ってどんな数?分数で表せる数の見分け方と無理数との違いが知りたい
- 【数と式】因数分解の公式ってどれを使えばいいの?形の見分け方と“よく出る型”を教えて
- 【数と式】無理数ってどんな数?有理数との違いや身近な例も知りたい
- 【数と式】因数分解はどうやればいい?手順や考え方を知りたい
- 【数と式】命題とは?|定義や命題でない例を知りたい
- 【数と式】降べきの順って?xについてってどういうこと?
- 【数と式】三乗の展開公式は?符号や係数をまちがえずに計算するコツを教えて
- 【数と式】三次式の因数分解のやり方は?公式と因数定理する方法を知りたい
- 【数と式】二次方程式の解の公式は?使い方と判別式による解の判定を知りたい
- 【数と式】一次方程式の解き方がわからない!移項のコツと分数・小数の攻略まで例題で解説
- 【数と式】因数定理とは?──f(a)=0 ならば (x-a) は因数である定理の使い方を知りたい
- 【数と式】3次式の因数分解の方法は?──因数定理・公式・たすきがけの使い分けを知りたい













