三平方の定理の証明方法を教えてください
三平方の定理の証明方法を教えてください
三平方の定理には複数の証明方法があります。主に面積・相似・座標(ベクトル)を使った3つの証明が代表的です。
三平方の定理には複数の証明方法があります。主に面積・相似・座標(ベクトル)を使った3つの証明が代表的です。
三平方の定理
まず、証明する定理を確認しましょう。
定理の内容:
直角三角形において、直角を挟む2辺を a, b、斜辺を c とすると:
a2 + b2 = c2
主要な3つの証明法
| 証明法 | 特徴 | 難易度 | おすすめ対象 |
|---|---|---|---|
| 面積による証明 | 最も直感的で視覚的に理解しやすい | ★☆☆ | 中学生、初学者 |
| 相似による証明 | 代数的で論理的 | ★★☆ | 高校生、論理重視 |
| 座標・ベクトルによる証明 | 現代的なアプローチ | ★★★ | 高校数学C |
使い分けの指針
- 初めて学ぶ:面積による証明がおすすめ
- 論理的理解を深める:相似による証明
- 応用力を養う:座標・ベクトルによる証明
具体的な数値例で確認
辺の長さ3-4-5の直角三角形で確認してみましょう:
確かに成り立っていますね。では、なぜこれがどんな直角三角形でも成り立つのか、証明していきましょう。
三平方の定理とは
三平方の定理とピタゴラスの定理は同じものです。直角三角形の3辺の関係を表す重要な定理です。
三平方の定理の内容
定理の内容:
直角三角形で、直角を挟む2辺の長さを a, b、斜辺(最も長い辺)の長さを c とすると:
言葉で表すと:
直角を挟む2辺のそれぞれを1辺とする正方形の面積の和は、斜辺を1辺とする正方形の面積に等しい
具体例:
| a | b | c | 計算 |
|---|---|---|---|
| 3 | 4 | 5 | 32 + 42 = 9 + 16 = 25 = 52 |
| 5 | 12 | 13 | 52 + 122 = 25 + 144 = 169 = 132 |
| 8 | 15 | 17 | 82 + 152 = 64 + 225 = 289 = 172 |
ピタゴラスの定理との関係
名称について:
- 三平方の定理:日本での呼び名(3つの辺を平方したものの関係から)
- ピタゴラスの定理:世界的な呼び名(Pythagorean theorem)
これらはまったく同じ定理を指します。
歴史的背景:
古代ギリシャの数学者ピタゴラス(紀元前570年頃〜紀元前495年頃)にちなんで命名されました。ただし、この定理は古代バビロニアや中国でも知られていました(紀元前1800年頃のバビロニアの粘土板に記録が残っています)。
重要性:
幾何学の基本定理の1つで、数学史上最も重要な定理の1つとされています。現在までに500以上の異なる証明方法が発見されています。(証明方法の数については諸説あります)
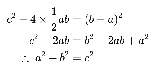
面積を使った証明方法
面積による証明は最も直感的で視覚的に理解しやすい方法です。同じ図形を異なる方法で分割して面積を計算します。
大きな正方形を使う方法
これは最も有名な証明方法です。
証明の手順:
ステップ1:正方形の作図
一辺が (a + b) の正方形を描きます。
ステップ2:分割パターン1
4つの直角三角形(各辺 a, b, c)と中央の正方形(一辺 c)に分割します。
面積の計算:
ステップ3:分割パターン2
2つの正方形(一辺 a と一辺 b)と4つの直角三角形に分割します。
面積の計算:
ステップ4:等式を立てる
どちらも同じ正方形なので面積は等しい:
ステップ5:結論
両辺から 2ab を引くと:
証明完了!
別の面積アプローチ
同じ4つの直角三角形を異なる配置で並べることでも証明できます。
別パターンの手順:
- 1. 4つの合同な直角三角形を、大きな正方形の内部に配置
- 2. 斜辺が外側を向くように並べる
- 3. 中央に残る図形が正方形(一辺 b - a)になることを確認
- 4. 外側の正方形から三角形4つを引いた面積が (b - a)2 に等しいことを示す
この配置の工夫により、視覚的に a2 + b2 = c2 が理解できます。
面積による証明の利点:
- 視覚的に理解しやすい
- 中学生でも理解できる
- 直感的で納得感がある
相似を使った証明方法
相似による証明は代数的で論理的な方法です。直角三角形に垂線を引き、できる3つの三角形が相似であることを利用します。
高さによる分割と相似
証明の手順:
ステップ1:垂線を引く
直角三角形ABCで、∠C = 90°、斜辺ABに頂点Cから垂線CHを下ろします。
ステップ2:相似の確認
△ABC、△ACH、△CBHは互いに相似です。
理由:
- すべて直角三角形
- 対応する角が等しい
ステップ3:相似比の利用①
△ABC ∽ △ACH より:
したがって:
ステップ4:相似比の利用②
△ABC ∽ △CBH より:
したがって:
ステップ5:加法
①+②より:
ステップ6:結論
a = BC, b = AC, c = AB とすると:
証明完了!
相似比と辺の関係の整理
この証明のポイント:
- 相似な三角形では、対応する辺の比が等しい
- この比例式を変形して平方の形にする
- 2つの等式を足し合わせる
利点:
| 特徴 | 説明 |
|---|---|
| 論理的 | 面積を使わずに証明できる |
| 教育的 | 相似の概念の理解が深まる |
| 練習になる | 代数的な論理展開の良い練習 |
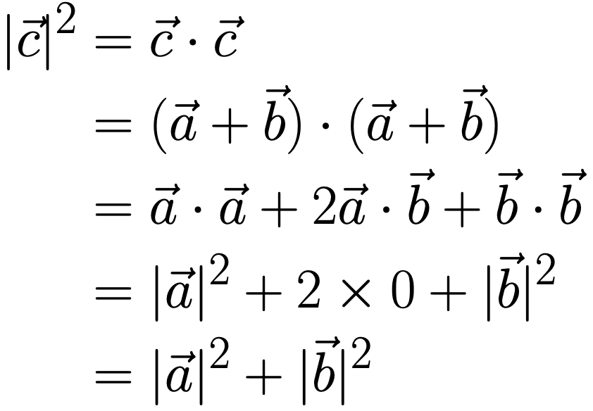
座標・ベクトルを使った証明方法
座標やベクトルを使った証明は現代的なアプローチです。高校数学Cで学ぶ内容を使います。
ベクトルによる証明
ベクトルの内積を利用して、斜辺の長さの二乗が他の二辺の二乗和に等しいことを示します。高校数学Cの範囲になります。
証明の手順:
ステップ1:ベクトル設定
直角三角形の3辺を
とし、
とします。
ステップ2:直角条件
より:


ステップ3:内積の計算
ステップ4:結論
とすると:
証明完了!
ベクトル証明の特徴:
- 内積の概念を使う現代的アプローチ
- 高次元への拡張が容易
- 物理学などへの応用が豊富
まとめ|三平方の定理の証明のポイント
三平方の定理の証明方法を振り返りましょう。
1. 定理の内容
(直角三角形において、直角を挟む2辺の平方の和は斜辺の平方に等しい)
2. 多様な証明法
三平方の定理には500以上の異なる証明法が存在します。代表的な3つを学びました:
| 証明法 | アプローチ | 特徴 | 学習段階 |
|---|---|---|---|
| 面積による証明 | 幾何学的・視覚的 | 最も直感的で理解しやすい | 中学数学 |
| 相似による証明 | 代数的・論理的 | 相似比を使った論理展開 | 高校数学A |
| ベクトルによる証明 | 現代的・解析的 | 拡張性が高く応用的 | 高校数学C |
3. 証明の選び方
- 初めて学ぶ人:面積による証明(視覚的で分かりやすい)
- 論理的思考を養いたい:相似による証明(代数的展開の練習)
- 発展的な学習:座標・ベクトルによる証明(応用力がつく)
4. 応用範囲
三平方の定理は様々な場面で活用されます:
- 2点間の距離の計算
- 立体図形の対角線の長さ
- 測量や建築
- 座標幾何学
- 三角関数
- 物理学(力の合成など)
三平方の定理の証明を理解すると、単に公式を覚えるだけでなく、「なぜそうなるのか」が分かります。しかし、
- 「面積の分割がうまくイメージできない」
- 「相似の証明で式変形がついていけない」
- 「どの証明を選べばいいか分からない」
といった壁に直面する高校生は多いです。そんなときに役立つのが進研ゼミのAI質問機能(お試し無料)。
数学のQ&Aランキング
- 【数列】Σの和の求め方
- 【関数と極限】∞+∞=∞とは
- 【三角関数】0<θ<π/4 の角に対する三角関数での表し方
- 【指数・対数関数】1/√aを(1/a)^r の形になおす方法
- 【図形と計量】180°-θの三角比
全体のQ&Aランキング
- 【動名詞】①<make + O + C >構文の訳し方②間接疑問文における疑問詞の訳し方
- 【数列】Σの和の求め方
- 【関数と極限】∞+∞=∞とは
- 【三角関数】0<θ<π/4 の角に対する三角関数での表し方
- 【指数・対数関数】1/√aを(1/a)^r の形になおす方法
「数と式」Q&A一覧
- 【数と式】「pならばq 」が真のとき,集合Pが集合Qに含まれる理由
- 【数と式】たすきがけのやり方について
- 【数と式】たすきがけはいつ使うのか
- 【数と式】ルートの中が「負の数の2乗」のときの,ルートのはずし方
- 【数と式】因数分解のしかた
- 【数と式】因数分解の式の整理について
- 【数と式】因数分解の式変形について
- 【数と式】因数分解をするときの途中式について
- 【数と式】対称式はどんなとき使うんですか?
- 【数と式】式変形するときの文字の置き換え方
- 【数と式】必要条件・十分条件
- 【数と式】文字を含む式の書き方
- 【数と式】無理数の整数部分,小数部分の求め方
- 【数と式】絶対値と場合分け
- 【数と式】絶対値記号の意味
- 【数と式】絶対値記号を含む方程式・不等式の解き方
- 【数と式】負の値の絶対値の考え方について
- 【数と式】逆・裏・対偶の関係
- 【数と式】連立不等式の解の求め方
- 【数と式】2重根号の計算
- 【数と式】有理数ってどんな数?分数で表せる数の見分け方と無理数との違いが知りたい
- 【数と式】因数分解の公式ってどれを使えばいいの?形の見分け方と“よく出る型”を教えて
- 【数と式】無理数ってどんな数?有理数との違いや身近な例も知りたい
- 【数と式】因数分解はどうやればいい?手順や考え方を知りたい
- 【数と式】命題とは?|定義や命題でない例を知りたい
- 【数と式】降べきの順って?xについてってどういうこと?
- 【数と式】三乗の展開公式は?符号や係数をまちがえずに計算するコツを教えて
- 【数と式】三次式の因数分解のやり方は?公式と因数定理する方法を知りたい
- 【数と式】二次方程式の解の公式は?使い方と判別式による解の判定を知りたい
- 【数と式】一次方程式の解き方がわからない!移項のコツと分数・小数の攻略まで例題で解説
- 【数と式】因数定理とは?──f(a)=0 ならば (x-a) は因数である定理の使い方を知りたい
- 【数と式】3次式の因数分解の方法は?──因数定理・公式・たすきがけの使い分けを知りたい












