ねじれの位置とは何ですか?
ねじれの位置とは何ですか?
ねじれの位置とは、同一平面上にない2直線の位置関係で、交わらず、平行でもない状態です。3次元空間特有の概念です。
ねじれの位置とは、同一平面上にない2直線の位置関係で、交わらず、平行でもない状態です。3次元空間特有の概念です。
ねじれの位置の定義
2つの直線がねじれの位置にあるとは、次の3つの条件をすべて満たすことです:
- 1. 交わらない(共有点がない)
- 2. 平行でない(同じ方向を向いていない)
- 3. 同一平面上にない(1つの平面に両方を含めない)
平面との違い
| 次元 | 2直線の位置関係 |
|---|---|
| 平面上 | 「交わる」または「平行」の2パターンのみ |
| 空間 | 「交わる」「平行」「ねじれの位置」の3パターン |
重要:ねじれの位置は3次元空間でのみ現れる概念です。平面上では存在しません。
身近な例で確認
例:高速道路の立体交差
上を通る道路と下を通る道路を考えると:
- 交わらない(上下に分かれている)
- 平行でない(異なる方向)
- 同じ平面にない(高さが違う)
→ これらの道路はねじれの位置にあります。
空間における2直線の位置関係
空間内の2直線は、①交わる、②平行、③ねじれの位置のいずれかです。
2直線の位置関係3パターン
| 位置関係 | 共有点 | 同一平面 | 方向 |
|---|---|---|---|
| ①交わる | 1個ある | 上にある | 異なる |
| ②平行 | ない | 上にある | 同じ |
| ③ねじれの位置 | ない | 上にない | 異なる |
判定の流れ
-
1. 共有点があるか?
- ある → 交わる
- ない → 次へ
-
2. 平行か?
- 平行である → 平行
- 平行でない → ねじれの位置
平面と空間の違い
平面の場合:
- 2つの直線は必ず同一平面上にある
- したがって「交わる」か「平行」のどちらか
空間の場合:
- 2つの直線が同一平面上にあるとは限らない
- 同一平面上にない場合、「ねじれの位置」になる
重要:ねじれの位置は3次元空間でのみ現れる概念です。
ねじれの位置の判定方法
定義に基づく判定とベクトルによる判定の2つの方法があります。
定義にもとづく判定(四点同一平面の否定)
判定手順:
直線 l 上の異なる2点 A, B と、直線 m 上の異なる2点 C, D をとる。
-
1. 交点の確認:直線 l と m が交わるか確認
- 交わる → ねじれでない
-
2. 平行の確認:直線 l と m が平行か確認
- 平行 → ねじれでない
-
3. 4点の同一平面判定:4点 A, B, C, D が同一平面上にないことを示す
- 同一平面上にない → ねじれの位置
4点が同一平面上にない条件(ベクトル利用):
,
,
が1次独立
つまり、
が s = t = u = 0 のときのみ成り立つ。
ベクトルによる最短判定
判定手順:
直線 l の方向ベクトルを d1、直線 m の方向ベクトルを d2 とする。
ステップ1:平行でないことの確認
d1 と d2 が平行でない、すなわち、d2 = kd1 となる実数 k が存在しない
ステップ2:交わらないことの確認
直線 l 上の点 A、直線 m 上の点 C とすると、
が d1 と d2 の1次結合で表せない
すなわち、
= s・d1 + t・d2 となる s, tが存在しない
この2条件を満たせば、2直線はねじれの位置にあります。
立方体や四面体でのねじれの位置の例
立方体では辺と対角線、四面体では対辺同士がねじれの位置になります。
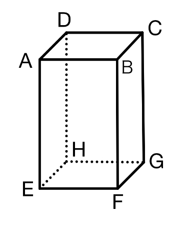
立方体での例
立方体ABCD-EFGHを考えます。
(上の面がABCD、下の面がEFGH)
ねじれの位置の例:
| 直線1 | 直線2 | 判定 |
|---|---|---|
| 辺AB | 辺CG | ねじれの位置 |
| 辺AB | 面対角線CF | ねじれの位置 |
| 体対角線AG | 辺EF | ねじれの位置 |
| 辺AB | 辺EF | 平行(ねじれではない) |
| 辺AB | 辺BC | 交わる(ねじれではない) |
確認:辺ABと辺CG
4点A, B, C, Gが同一平面上にないことが分かります。また:
- 交わらない(接点がない)
- 平行でない(異なる方向)
→ よってねじれの位置
四面体での例
四面体OABCの対辺(向かい合う辺):
- 辺OA と 辺BC
- 辺OB と 辺AC
- 辺OC と 辺AB
これらの対辺はすべてねじれの位置にあります。
理由:
例えば辺OAと辺BCを考えると:
- 4点O, A, B, Cは同一平面上にない(四面体を構成している)
- OAとBCは交わらない
- OAとBCは平行でない
→ よってねじれの位置
性質:正四面体では、対辺同士は垂直に交わります(ねじれの位置で垂直)。
三角柱・四角柱での例
三角柱ABC-DEFでの例:
| 直線1 | 直線2 | 判定 |
|---|---|---|
| 辺AB | 辺EF | ねじれの位置 |
| 辺AB | 辺DE | 平行(ねじれではない) |
| 辺AC | 辺DF | 平行(ねじれではない) |
四角柱ABCD - EFGHでの例:
| 直線1 | 直線2 | 判定 |
|---|---|---|
| 辺AB | 辺FG | ねじれの位置 |
| 対角線BD | 辺EH | ねじれの位置 |
| 辺AB | 辺GH | 平行(ねじれではない) |
判定のコツ:図を描いて、4点が同一平面上にあるかを確認しましょう。
ねじれの位置の2直線の距離と角
距離は共通垂線の長さ、角は方向ベクトルの内積で求めます。
距離の定義(共通垂線)
最短距離の定義:
ねじれの位置にある2直線 l, m に対して、l 上の点Pと m 上の点Qの距離 PQ の最小値を、2直線間の距離といいます。
共通垂線:
2直線 l, m の両方に垂直な直線を共通垂線といいます。
共通垂線と l, m の交点をそれぞれP, Qとすると、線分PQの長さが2直線間の距離になります。
性質:ねじれの位置にある2直線には、共通垂線がただ1本存在します。
成す角
成す角の定義(2通り):
方法1(平行移動):
一方の直線を平行移動して、もう一方の直線と交わるようにする。このときできる角(鋭角または直角)を2直線の成す角という。
方法2(方向ベクトル):
直線 l の方向ベクトルを d1、直線 m の方向ベクトルを d2 とすると
注意:成す角は 0° ≦ θ ≦ 90° の範囲で定義します(鋭角または直角)。
垂直の判定
垂直の定義:
ねじれの位置にある2直線の成す角が 90° のとき、この2直線は垂直であるといいます。
判定方法(方向ベクトル):
直線 l の方向ベクトルを d1、直線 m の方向ベクトルを d2 とすると、
2直線が垂直であることの必要十分条件は:
例:正四面体の対辺は、ねじれの位置にあり、かつ垂直です。
まとめ|ねじれの位置の3つの条件と性質のポイント
ねじれの位置について学んだ内容を振り返りましょう。
1. ねじれの位置の定義
ねじれの位置は同一平面上にない2直線の位置関係(空間特有の概念)
3つの条件:
- 1. 交わらない
- 2. 平行でない
- 3. 同一平面上にない
2. 空間における2直線の位置関係
| 位置関係 | 特徴 |
|---|---|
| 交わる | 共有点が1つある |
| 平行 | 方向が同じ、同一平面上 |
| ねじれの位置 | 交わらず、平行でもない |
3. 判定法
- 定義による判定:4点の同一平面判定
- ベクトルによる判定:方向ベクトルの平行性と1次独立性を確認
4. 性質
- 距離:共通垂線(ただ1本)の長さで定義
- 成す角:方向ベクトルの内積で計算(0°〜90°)
- 垂直:d1・d2 = 0
5. 具体例
| 立体 | ねじれの位置の例 |
|---|---|
| 立方体 | 辺と交わらない対角線、交差する辺 |
| 四面体 | 対辺同士(3組すべて) |
| 角柱 | 特定の辺と辺、辺と対角線 |
| 実生活 | 立体交差の道路 |
ねじれの位置の理解は、空間図形の問題を解く上で重要です。しかし、
- 「平行とねじれの位置の違いが分からない」
- 「立体図形でどれがねじれの位置か判定できない」
- 「共通垂線や成す角の求め方が難しい」
といった壁に直面する高校生は多いです。そんなときに役立つのが進研ゼミのAI質問機能(お試し無料)。
数学のQ&Aランキング
- 【数列】Σの和の求め方
- 【関数と極限】∞+∞=∞とは
- 【三角関数】0<θ<π/4 の角に対する三角関数での表し方
- 【指数・対数関数】1/√aを(1/a)^r の形になおす方法
- 【図形と計量】180°-θの三角比
全体のQ&Aランキング
- 【動名詞】①<make + O + C >構文の訳し方②間接疑問文における疑問詞の訳し方
- 【数列】Σの和の求め方
- 【関数と極限】∞+∞=∞とは
- 【三角関数】0<θ<π/4 の角に対する三角関数での表し方
- 【指数・対数関数】1/√aを(1/a)^r の形になおす方法
「数と式」Q&A一覧
- 【数と式】「pならばq 」が真のとき,集合Pが集合Qに含まれる理由
- 【数と式】たすきがけのやり方について
- 【数と式】たすきがけはいつ使うのか
- 【数と式】ルートの中が「負の数の2乗」のときの,ルートのはずし方
- 【数と式】因数分解のしかた
- 【数と式】因数分解の式の整理について
- 【数と式】因数分解の式変形について
- 【数と式】因数分解をするときの途中式について
- 【数と式】対称式はどんなとき使うんですか?
- 【数と式】式変形するときの文字の置き換え方
- 【数と式】必要条件・十分条件
- 【数と式】文字を含む式の書き方
- 【数と式】無理数の整数部分,小数部分の求め方
- 【数と式】絶対値と場合分け
- 【数と式】絶対値記号の意味
- 【数と式】絶対値記号を含む方程式・不等式の解き方
- 【数と式】負の値の絶対値の考え方について
- 【数と式】逆・裏・対偶の関係
- 【数と式】連立不等式の解の求め方
- 【数と式】2重根号の計算
- 【数と式】有理数ってどんな数?分数で表せる数の見分け方と無理数との違いが知りたい
- 【数と式】因数分解の公式ってどれを使えばいいの?形の見分け方と“よく出る型”を教えて
- 【数と式】無理数ってどんな数?有理数との違いや身近な例も知りたい
- 【数と式】因数分解はどうやればいい?手順や考え方を知りたい
- 【数と式】命題とは?|定義や命題でない例を知りたい
- 【数と式】降べきの順って?xについてってどういうこと?
- 【数と式】三乗の展開公式は?符号や係数をまちがえずに計算するコツを教えて
- 【数と式】三次式の因数分解のやり方は?公式と因数定理する方法を知りたい
- 【数と式】二次方程式の解の公式は?使い方と判別式による解の判定を知りたい
- 【数と式】一次方程式の解き方がわからない!移項のコツと分数・小数の攻略まで例題で解説
- 【数と式】因数定理とは?──f(a)=0 ならば (x-a) は因数である定理の使い方を知りたい
- 【数と式】3次式の因数分解の方法は?──因数定理・公式・たすきがけの使い分けを知りたい












