微分とは?
微分とは?瞬間の変化率と接線の傾きの定義を理解したい
微分とはその瞬間の変化率=グラフの接線の傾きを求める操作です。ここを押さえると、増減・極値・接線の問題に一直線でつながります。
微分とはその瞬間の変化率=グラフの接線の傾きを求める操作です。ここを押さえると、増減・極値・接線の問題に一直線でつながります。
2点での「平均の変化率」を、点と点の間隔を限りなく小さくしながら観察すると、1点での瞬間だけの変化率に近づきます。これを数学では極限を用いて定義します。
微分の定義(平均変化率の極限)と直感的イメージ
-
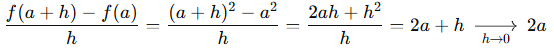
定義
これは、「点aとその近くの点 a + h を結んだ直線の傾き(平均変化率)を、2点の距離をどんどん縮めながら調べると、単一の点における“瞬間の変化率”に近づいていく」という意味です。
-
イメージ
曲線のグラフは全体を見ると曲がっていますが、ある一点を大きく拡大すると、その部分だけほぼ直線に見えることがあります。
このとき、
- 拡大したときに見える直線が接線
- その直線の傾きが微分係数
にあたります。つまり、曲線を極限まで拡大したとき、その点付近での“直線的なふるまい”の傾きを取り出す操作が微分だと考えると、式の意味とイメージがつながります。
微分の基本公式(和・積・商・合成の法則)
微分の計算は、基本となる4つのルール(和の法則・積の法則・商の法則・合成関数の微分)に慣れると一気に安定します。
ここでは「どう計算するか」に加え、なぜその形になるのか、どういう考えで使えばよいかも簡単に説明します。
和の微分
足し算されている部分は、それぞれ“独立に”変化するので、微分もそのまま足し算で分けてOKです。
難しく考えず、「別々に微分して足すだけ」と覚えてよい最もシンプルな法則です。
積の微分
2つの関数がかけ算されているときは、「1つ目だけが変化した場合」と「2つ目だけが変化した場合」をそれぞれ考えて足し合わせます。
イメージは
1つ目を微分 × 2つ目をそのまま
1つ目をそのまま × 2つ目を微分
この2つの変化を合計したものが積の微分になります。
商の微分
商は積より少し複雑で、「分母ありバージョンの積の微分」と考えると理解しやすいです。ポイントは、
上の部分(分子)は積の微分の形(
)
下の部分(分母)はg2(2乗)になること
分母の2乗を忘れるミスが非常に多いので注意。
合成関数
関数が入れ子(外側と内側)になっている場合は、「外側の微分→中身をそのまま代入→最後に内側を微分」という順で処理します。
イメージとしては、
「大枠を微分」
「中身をそのまま当てはめる」
「中身がどう変化しているか(g'(x))も掛ける」
という“三段階処理”です。
微分の活用:増減・極値・接線
微分で「瞬間の変化率」や「接線の傾き」を求められるようになると、その先で関数の増減・極値・グラフの形を調べたり、接線の方程式 を求めたりすることができるようになります。
ここでは、微分が具体的に何に使われるのかを、代表的な場面に整理しておきます。
増減
微分がわかると、関数が「どこで上がり、どこで下がるか」など、グラフの動きを読み取ることができるようになります。これが増減の判定です。
なら増加
なら減少
というように、符号を見るだけで増減がわかります。
極値
関数が「山の頂点(極大)」や「谷の底(極小)」になる場所は、まず微分が 0 になる点(臨界点)を見つけて調べます。
この点の前後で微分の符号がどう変わるかを見ると極値が判定できます。
- + → - に変わる…右上がり→右下がりなので極大
- - → + に変わる…右下がり→ 右上がりなので極小
微分f'(x)の符号は“上がる/下がる”を表すため、上がってから下がる点は「山」、下がってから上がる点は「谷」になるのです。
接線
関数f(x) のグラフにおいて、点 (a, f(a))での接線はその点での傾き(微分係数)を使って次の式で求められます。
点(a,f(a))の接線は
y = f'(a)(x - a) + f(a)
接線はその点での“瞬間の傾き”を持つ直線なので、
傾きにf'(a)、通る点に (a, f(a))を使って直線の式をつくるだけで完成します。
微分でよくある誤答
微分は「定義→公式 →活用」の流れがつかめると安定しますが、計算のパターンが増えるにつれて、特定の場所で起きやすい典型ミスが出てきます。
それらは多くの場合、公式の形そのものより「どの考え方で計算しているのか」を見失ってしまうことが原因です。
ここでは、定期試験で特に頻出の積・商・合成(チェーンルール)・接線の4つについて、よくある誤答・なぜ起きるのか・どう対処すればよいかをコンパクトに整理します。
こうした“ミスの傾向”を事前に知っておくと、計算の精度が一気に上がります。
| 分類 | 典型ミス | 確認ポイント | 正しい対処 |
|---|---|---|---|
| 積の微分 | (uv)'= u'v'としてしまう | 積の形では、片方だけが変化するわけではない | (fg)' = f'g + fg'を定義から再導出 |
| 商の微分 | の分母二乗を落とす |
共通分母化の途中式が曖昧 | 分子f'g - fg'、分母 g2 を声に出して確認 |
| 合成 | 外側・内側の取り違え | ![]() の流れを図解 |
連鎖率を外→内の順で適用 |
| 接線 | 点の代入忘れ | 切片計算で f(a) を入れ忘れる | y = f'(a)(x - a) + f(a) を型で記憶 |
微分に関連した練習問題
微分の考え方や公式、活用場面を理解したら、実際に手を動かしてみることで「どこがわかっていて、どこでつまずくのか」がはっきりします。
微分は定義の理解→公式の使い分け→活用(増減・極値・接線) の流れがつながると、
どんな問題でも落ち着いて処理できるようになります。
ここでは、定期テストでも頻出の基本の微分計算→合成関数→応用(接線・増減)をバランスよく確認できる練習問題をまとめています。
問題1:f(x) = x2 の x = a における微分係数を定義から求めよ
解法・解説
定義式に当てはめて計算を進めます。
問題2:y = (x2 + 1)sin x を微分せよ
解法・解説
積の微分公式を使えば一発で求められます。
問題3:y = x3 における点 (2,8) での接線の方程式を求めよ
解法・解説
必ず y = f'(a)(x - a) + f(a)からスタートします。
y' = 3x2 ⇒ y'(2) = 12。点(2,8)を通るから
y - 8 = 12(x - 2)
y = 12x - 16
まとめ|微分の定義・公式・使いどころのポイント
ここまでの内容を振り返り、高校数学で必ず押さえておきたい微分のポイントを整理しましょう。
微分の意味(本質)
- 微分とは「瞬間の変化率」を求める操作
- 瞬間の変化率=グラフの接線の傾き
- 平均変化率を極限で狭めることで定義される
-
定義式:
基本公式(和・積・商・合成)
- 和:

- 積:

- 商:

- 合成:

活用の基本(定期テストで最重要)
-
増減:
f'(x) > 0で増加、f'(x) < 0 で減少 -
極値:
f'(x) < 0の前後で符号変化を確認 -
接線:
y = f'(a)(x - a) + f(a)の型を必ず書く
微分の定義や公式は覚えていても、
- 「なぜ瞬間の変化率=接線の傾きなのか説明できない」
- 「平均変化率から極限へ進む途中の論理がつながらない」
- 「増減や極値の問題を解いてみたものの、解答の方針が本当に合っているのか不安」
といった壁に直面する高校生は多いです。そんなときに役立つのが進研ゼミのAI質問機能(お試し無料)。
数学のQ&Aランキング
- 【数列】Σの和の求め方
- 【関数と極限】∞+∞=∞とは
- 【三角関数】0<θ<π/4 の角に対する三角関数での表し方
- 【指数・対数関数】1/√aを(1/a)^r の形になおす方法
- 【図形と計量】180°-θの三角比
全体のQ&Aランキング
- 【動名詞】①<make + O + C >構文の訳し方②間接疑問文における疑問詞の訳し方
- 【数列】Σの和の求め方
- 【関数と極限】∞+∞=∞とは
- 【三角関数】0<θ<π/4 の角に対する三角関数での表し方
- 【指数・対数関数】1/√aを(1/a)^r の形になおす方法
「数と式」Q&A一覧
- 【数と式】「pならばq 」が真のとき,集合Pが集合Qに含まれる理由
- 【数と式】たすきがけのやり方について
- 【数と式】たすきがけはいつ使うのか
- 【数と式】ルートの中が「負の数の2乗」のときの,ルートのはずし方
- 【数と式】因数分解のしかた
- 【数と式】因数分解の式の整理について
- 【数と式】因数分解の式変形について
- 【数と式】因数分解をするときの途中式について
- 【数と式】対称式はどんなとき使うんですか?
- 【数と式】式変形するときの文字の置き換え方
- 【数と式】必要条件・十分条件
- 【数と式】文字を含む式の書き方
- 【数と式】無理数の整数部分,小数部分の求め方
- 【数と式】絶対値と場合分け
- 【数と式】絶対値記号の意味
- 【数と式】絶対値記号を含む方程式・不等式の解き方
- 【数と式】負の値の絶対値の考え方について
- 【数と式】逆・裏・対偶の関係
- 【数と式】連立不等式の解の求め方
- 【数と式】2重根号の計算
- 【数と式】有理数ってどんな数?分数で表せる数の見分け方と無理数との違いが知りたい
- 【数と式】因数分解の公式ってどれを使えばいいの?形の見分け方と“よく出る型”を教えて
- 【数と式】無理数ってどんな数?有理数との違いや身近な例も知りたい
- 【数と式】因数分解はどうやればいい?手順や考え方を知りたい
- 【数と式】命題とは?|定義や命題でない例を知りたい
- 【数と式】降べきの順って?xについてってどういうこと?
- 【数と式】三乗の展開公式は?符号や係数をまちがえずに計算するコツを教えて
- 【数と式】三次式の因数分解のやり方は?公式と因数定理する方法を知りたい
- 【数と式】二次方程式の解の公式は?使い方と判別式による解の判定を知りたい
- 【数と式】一次方程式の解き方がわからない!移項のコツと分数・小数の攻略まで例題で解説
- 【数と式】因数定理とは?──f(a)=0 ならば (x-a) は因数である定理の使い方を知りたい
- 【数と式】3次式の因数分解の方法は?──因数定理・公式・たすきがけの使い分けを知りたい

の分母二乗を落とす











