三角形の面積をベクトルで求める方法とは?
三角形の面積をベクトルで求める方法とは?|成分版と内積版の使い分けと検算方法を教えて
三角形の面積は「始点をそろえた2本のベクトル」から求めるのが基本です。
三角形の面積は「始点をそろえた2本のベクトル」から求めるのが基本です。
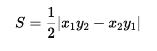
原点にある三角形なら、そのまま 成分(座標) を使って、

の形で一気に求められます。原点にないときは、三角形のAを始点にして
、
のように「始点をそろえる」だけで同じ計算が使えます。さらに、角度がある問題では

を使う内積版で答えをチェックすると、符号ミスを確実に防げます。
ここからは、三角形の面積公式を実際に使ってみます。使う際につまずきやすいのは次の3つです。
① 成分版の理由がわからない
② 非原点の処理
③ 検算の習慣
これらを意識しながら以下を読んでいきましょう。
三角形の面積をベクトルで求める2つの公式
成分版(座標そのまま使える公式)
三角形ABCを点A始点の2本のベクトル
とすると、面積Sは次で求められます。
平行四辺形の面積(=差積)を半分にしたものです。計算が軽く、定期テストで最も使われます。
内積版(角度を使った別解・検算向け)
2本のベクトル
のなす角をθとすると
長さや角度がわかる問題ではこちらが便利です。平方根・三角比が増えるので、主計算よりも“検算”として使うと確実です。
ちなみに、実質的にはこの 2 式は同じ式です。
に対して
を代入します。内積の定義から
であるため S =
となります。ここで
を根号の中へ入れるとS =
が導かれます。
成分版と内積版の使い分け方
- 座標がそのまま使える→成分版が最速
- 値の確からしさ確認→内積版で検算が有効
- 原点にない場合 → 1点を原点に平行移動してから成分版へ
最初に「どの公式を使うか」を決めてしまうと、計算の迷いが減ります。
始点をそろえて
を作る(原点にない三角形の面積の出し方)
三角形 ABC が原点にないときでも、1つの点(ふつうは A )を基準に「全部引き算」してしまえば、原点を使うときと同じ計算ができます。
具体的には、


とするだけで、 A が“新しい原点”になります。
と
の成分がそろえば、あとは成分版
で一気に求められます。また、「後 − 前」で統一して引き算する習慣をつけると、符号ミスがぐっと減ります。
計算が終わったら、角度がわかる問題では内積版でもう一度面積を出してみると、値が一致するかどうかで安心して答えを確定できます。
三角形の面積をベクトルで解く練習問題
ここまでで、三角形の面積は始点をそろえる → 成分版で計算 → 内積版で確認という流れで求められることを整理しました。あとは実際の座標で手を動かし、この型を定着させるだけです。
以下の3問で、基本から検算までまとめて確認してみましょう。
問題1(基礎):原点を含む三角形 ABC(A(0,0), B(3,2), C(−1,4)) の面積を求めよ
解答・解説
この三角形は A(0,0) が原点にあるので、

をそのまま成分として使えます。原点を始点にしているため、平行移動の必要はありません。
三角形の面積の公式に、A→B, A→C の成分を代入します。
平行四辺形の面積(差積)の半分が三角形なので、計算が短く、座標のまま高速で求まるのが成分版のメリットです。
問題2(標準):三角形ABC( A(2,−1), B(5,3), C(−1,4))の面積を求めよ
解答・解説
A(2,−1)を基準にして、すべての点を A に合わせます。このときの
はそれぞれ
となり、 A が始点になりました。これで問題1と同じように、成分版の公式がそのまま使えます。
三角形の面積の公式に代入して計算します。
A を基準に「後 − 前」でそろえることで符号ミスが防げ、平行移動 → 成分版の流れを自然に定着させられます。
問題3(検算特化):
の張る三角形の面積を求めよ
解答・解説
この問題では、成分版と内積版の両方で求めて答えが一致することを確認し、検算の意味をつかむことが目標です。
内積版:
成分版:
二つの公式が一致することを確認し、検算の意味を体感してください。
よくある質問:Q&A
三角形の面積をベクトルで計算するときは、手順そのものはシンプルでも、細かいところで不安や疑問が出やすい分野です。ここでは、学習者がつまずきやすいポイントを短くまとめてお答えします。計算の確認や理解の補強に役立ててください。
Q:ベクトルの順番(
と
)を入れ替えると、面積の値は変わる?
A:途中計算の符号は変わりますが、面積の公式は最後に絶対値を取るので結果は同じになります。
不安なときは、もう一つの公式(内積版)でも計算して一致するか確かめると安心です。
Q:原点(始点)にどの点を合わせればいい?
A:どの点を基準にしても面積は変わらず正しく求められます。ただし、計算が一番楽になる点(0が含まれる点・整数がそろっている点など)を選ぶとミスが減ります。Aを基準にすることが多いのは、式が作りやすくなるためです。
Q:内積版は平方根が面倒でやりたくない…
A:内積版は“検算用”と割り切ってOKです。成分版がメインの解法なので、内積版は 数字が大きいときや答えの確からしさを確認したいときだけ 使えば十分です。
まとめ|三角形の面積をベクトルで解くポイント
面積公式の基本は以下の通り。
成分版:
内積版:
使い分けのコツ
- 原点を含む → 成分版が最速
- 原点を含まない → 1点を基準に平行移動して成分版
- 答えの確かさを確かめたい → 内積版で検算
計算手順のポイント
- 差のとり方は「後 − 前」で統一すると符号ミスが減る
- 平行移動 → 成分版 → 内積版の流れをテンプレ化すると安定
- 例題では、成分版と内積版が一致することを必ず確認すること
数学的意義
- 成分版は「平行四辺形の面積の半分」という幾何的意味を持つ
- 内積版は「角度と長さ」から導かれ、ベクトルの構造理解に役立つ
応用・メリット
- 計算力がつき、定期テストの座標・ベクトル問題が解きやすくなる
- 検算を習慣化することで、符号ミスを大幅に減らせる
- 角度で最大面積を考える問題にも自然と応用できる
三角形の面積をベクトルで求める公式は習っても、
- 「成分版と内積版のつながりがよくわからない」
- 「どのタイミングで平行移動すべきか毎回迷ってしまう」
- 「計算はできたけれど、この答えで本当に合っているのか不安」
といった壁に直面する高校生は多いです。そんなときに役立つのが進研ゼミのAI質問機能(お試し無料)。
数学のQ&Aランキング
- 【数列】Σの和の求め方
- 【関数と極限】∞+∞=∞とは
- 【三角関数】0<θ<π/4 の角に対する三角関数での表し方
- 【指数・対数関数】1/√aを(1/a)^r の形になおす方法
- 【図形と計量】180°-θの三角比
全体のQ&Aランキング
- 【動名詞】①<make + O + C >構文の訳し方②間接疑問文における疑問詞の訳し方
- 【数列】Σの和の求め方
- 【関数と極限】∞+∞=∞とは
- 【三角関数】0<θ<π/4 の角に対する三角関数での表し方
- 【指数・対数関数】1/√aを(1/a)^r の形になおす方法
「数と式」Q&A一覧
- 【数と式】「pならばq 」が真のとき,集合Pが集合Qに含まれる理由
- 【数と式】たすきがけのやり方について
- 【数と式】たすきがけはいつ使うのか
- 【数と式】ルートの中が「負の数の2乗」のときの,ルートのはずし方
- 【数と式】因数分解のしかた
- 【数と式】因数分解の式の整理について
- 【数と式】因数分解の式変形について
- 【数と式】因数分解をするときの途中式について
- 【数と式】対称式はどんなとき使うんですか?
- 【数と式】式変形するときの文字の置き換え方
- 【数と式】必要条件・十分条件
- 【数と式】文字を含む式の書き方
- 【数と式】無理数の整数部分,小数部分の求め方
- 【数と式】絶対値と場合分け
- 【数と式】絶対値記号の意味
- 【数と式】絶対値記号を含む方程式・不等式の解き方
- 【数と式】負の値の絶対値の考え方について
- 【数と式】逆・裏・対偶の関係
- 【数と式】連立不等式の解の求め方
- 【数と式】2重根号の計算
- 【数と式】有理数ってどんな数?分数で表せる数の見分け方と無理数との違いが知りたい
- 【数と式】因数分解の公式ってどれを使えばいいの?形の見分け方と“よく出る型”を教えて
- 【数と式】無理数ってどんな数?有理数との違いや身近な例も知りたい
- 【数と式】因数分解はどうやればいい?手順や考え方を知りたい
- 【数と式】命題とは?|定義や命題でない例を知りたい
- 【数と式】降べきの順って?xについてってどういうこと?
- 【数と式】三乗の展開公式は?符号や係数をまちがえずに計算するコツを教えて
- 【数と式】三次式の因数分解のやり方は?公式と因数定理する方法を知りたい
- 【数と式】二次方程式の解の公式は?使い方と判別式による解の判定を知りたい
- 【数と式】一次方程式の解き方がわからない!移項のコツと分数・小数の攻略まで例題で解説
- 【数と式】因数定理とは?──f(a)=0 ならば (x-a) は因数である定理の使い方を知りたい
- 【数と式】3次式の因数分解の方法は?──因数定理・公式・たすきがけの使い分けを知りたい














