数列の公式をまとめて知りたい
数列の公式をまとめて知りたい
数列の公式は多いですが、まず「隣り合う項の差が一定か」「比が一定か」で等差か等比を見分けるのが出発点です。
数列の公式は多いですが、まず「隣り合う項の差が一定か」「比が一定か」で等差か等比を見分けるのが出発点です。
そこから「特定の項を求めるのか」「全体の和を求めるのか」で使う公式が決まります。
無限に続く場合は、公比の大きさを見て収束するかどうかを確認。
この流れを覚えると、数列の問題は格段に整理して考えられるようになります。
数列の重要公式一覧
まずは数列の重要公式を一覧で確認しましょう。
| 数列の種類 | 公式 |
|---|---|
|
等差数列 (一般項) |
![]() |
|
等差数列 (初項から n 項の和) |
![]() |
|
等比数列 (一般項) |
![]() |
|
等比数列 (初項から n 項の和) |
![]() |
|
階差数列 (一般項) |
![]() |
| 累乗の和 | ![]() |
(数列の重要公式一覧)
使い分けのポイント
- 項と項の関係を最初に確認する
- 等差か等比かを判定してから適切な公式を選択
- 求めるものが一般項か和かを明確にする
数列とは?基本概念の確認
数列の定義と記号
数列とは、自然数に対して決まった規則に従って数を対応させたもので、
のように表記します。ここで、n は項の番号、
は数列の一般項(n番目の項)、
は数列全体を表します。
例えば、
という数列は
= 2n と表現することができます。
数列を理解するためには、まずこの表記方法になれることが重要です。
一般項と漸化式
数列を定義するには、主に一般項と漸化式の2種類の方法があります。
一般項
一般項とは、第n項を直接nの式で表したものです。
例えば、
= 3n + 1 や
などがあります。
漸化式
漸化式とは、前の項との関係で定義したものです。
例えば、
などがあります。
漸化式から一般項を求めることは数列の重要なテーマの一つです。多くの場合、規則性を見つけて一般項の形に変形します。
等差数列の公式
等差数列の一般項
等差数列は隣り合う項の差が一定の数列で、その差を公差(一般的に d で表す)と呼びます。このとき、一般項は
と表すことができます。これは、初項
に、dをn-1回足すとn番目の項になることを示しています。
例えば、初項3、公差2の等差数列の場合は
のように一般項を考えることができます。
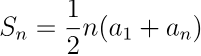
等差数列の和の公式
等差数列の初項から第n項までの和には、2つの表現があります。
使い分けのポイント
初項と第n項(末項)がわかっているときは、公式①を利用し、初項と公差がわかっているときは公式②を利用することがポイントです。
どちらも本質は同じです。問題で与えられた条件に応じて使いやすい方を選択しましょう。
等比数列の公式
等比数列の一般項
等比数列は隣り合う項の比が一定の数列で、その差を公比(一般的にrで表す)と呼びます。このとき、一般項は
と表すことができます。これは、初項
に、rをn - 1回かけるとn番目の項になることを示しています。
例えば、初項2、公比3の等比数列の場合は
のように一般項を考えることができます。
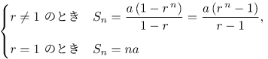
等比数列の和の公式
等比数列の初項から第n項までの和は、公比rの値によって、場合わけが必要になります。
特に、r = 1 のときは、全ての項が等しく初項
と同じになるので、
になります。また、r < 0 のときは、項の符号が交互に変わることも確認しておきましょう。
無限等比級数(数学III)
※このセクションの内容は数学IIIで学習します。
初項を
、公比をr とする等比数列に対して、この無限に続く和を無限等比級数といいます。
この無限等比級数が収束するのは、|r| < 1のときに限り、|r| > 1で発散します。
その他の重要な数列公式
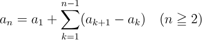
階差数列
階差数列では、
の形に分解して計算することがポイントである。このように変形することができれば、
のように計算することができる。
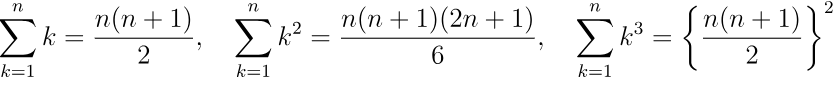
累乗の和の公式
シグマ記号を使った和の計算でよく使う基本公式をまとめます。
これらの公式は暗記必須です。特に最初の2つは入試頻出なので、導出過程も理解しておくと応用が利きます。
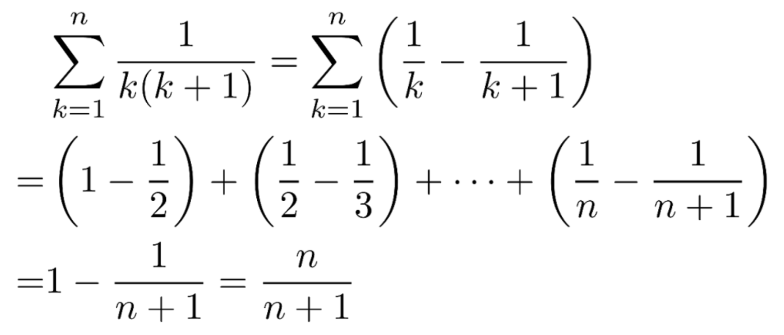
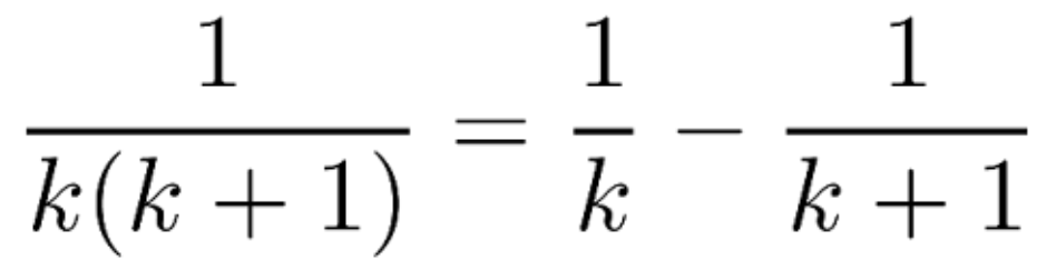
部分分数分解
分数の形をした数列の和を求める際に使う重要なテクニックです。
は
であることを利用して

のように計算できます。
数列公式の使い分け
問題を見たときにどの公式を使うべきかを判断するフローチャートを示します。
判断基準のステップ
-
1. 数列の性質を見抜く
- 隣り合う項の差を確認→一定なら等差数列
- 隣り合う項の比を確認→一定なら等比数列
- どちらでもない→階差数列や漸化式を検討
-
2. 求めるものを明確にする
- 特定の項→一般項の公式
- 複数項の和→和の公式
- 無限の和→収束条件を確認
-
3. 与えられた条件を整理する
- 初項と公差/公比→直接公式適用
- 特定の項の値→逆算で初項や公差を求める
- 漸化式→一般項を導出してから公式適用
よくある間違いパターン:
- 等比数列でr = 1の場合分けを忘れる
- 無限級数の収束条件を確認しない
- 階差数列で第1項の確認を怠る
まとめ|数列の重要公式と使い分けのポイント
数列は「一般項」と「和」を軸に整理
→ まず 等差か等比か を判定。つぎに「求めたいのは 特定の項 か 和 か」を決める。
等差数列(差が一定)
→ 一般項:初項+(項数−1)× 公差。
→ 和:①「初項と末項で」計算/②「初項と公差で」計算の2型を使い分け。
等比数列(比が一定)
→ 一般項:初項 × 公比n-1。
→ 和:等比数列の和の公式を使用(公比≠1)。
→ 無限和:|公比| < 1 のときのみ収束。
その他の必修テク
→ 階差数列(差を並べて“消える和”にする)、累乗の和(基本の和・平方和・立方和)、部分分数分解(分数型の和をばらす)。
使い分けの合図(フローチャートの要点)
→ 差が一定=等差/比が一定=等比/どちらでもない=階差や漸化式を検討。
→ 条件が「初項+公差/公比」か「初項+末項」かで式を選ぶ。
ただ実際の学習では、
- 等比で 公比=1 の場合分けを忘れる
- 無限等比級数で 収束条件 |公比|<1 を確認しない
- 等差の和で「初項・末項・項数」の取り違え
- 階差数列で 第1項の扱い を落とす
といった壁に直面する高校生は多いです。そんなときに役立つのが進研ゼミのAI質問機能(お試し無料)。
数学のQ&Aランキング
- 【数列】Σの和の求め方
- 【関数と極限】∞+∞=∞とは
- 【三角関数】0<θ<π/4 の角に対する三角関数での表し方
- 【指数・対数関数】1/√aを(1/a)^r の形になおす方法
- 【図形と計量】180°-θの三角比
全体のQ&Aランキング
- 【動名詞】①<make + O + C >構文の訳し方②間接疑問文における疑問詞の訳し方
- 【数列】Σの和の求め方
- 【関数と極限】∞+∞=∞とは
- 【三角関数】0<θ<π/4 の角に対する三角関数での表し方
- 【指数・対数関数】1/√aを(1/a)^r の形になおす方法
「数と式」Q&A一覧
- 【数と式】「pならばq 」が真のとき,集合Pが集合Qに含まれる理由
- 【数と式】たすきがけのやり方について
- 【数と式】たすきがけはいつ使うのか
- 【数と式】ルートの中が「負の数の2乗」のときの,ルートのはずし方
- 【数と式】因数分解のしかた
- 【数と式】因数分解の式の整理について
- 【数と式】因数分解の式変形について
- 【数と式】因数分解をするときの途中式について
- 【数と式】対称式はどんなとき使うんですか?
- 【数と式】式変形するときの文字の置き換え方
- 【数と式】必要条件・十分条件
- 【数と式】文字を含む式の書き方
- 【数と式】無理数の整数部分,小数部分の求め方
- 【数と式】絶対値と場合分け
- 【数と式】絶対値記号の意味
- 【数と式】絶対値記号を含む方程式・不等式の解き方
- 【数と式】負の値の絶対値の考え方について
- 【数と式】逆・裏・対偶の関係
- 【数と式】連立不等式の解の求め方
- 【数と式】2重根号の計算
- 【数と式】有理数ってどんな数?分数で表せる数の見分け方と無理数との違いが知りたい
- 【数と式】因数分解の公式ってどれを使えばいいの?形の見分け方と“よく出る型”を教えて
- 【数と式】無理数ってどんな数?有理数との違いや身近な例も知りたい
- 【数と式】因数分解はどうやればいい?手順や考え方を知りたい
- 【数と式】命題とは?|定義や命題でない例を知りたい
- 【数と式】降べきの順って?xについてってどういうこと?
- 【数と式】三乗の展開公式は?符号や係数をまちがえずに計算するコツを教えて
- 【数と式】三次式の因数分解のやり方は?公式と因数定理する方法を知りたい
- 【数と式】二次方程式の解の公式は?使い方と判別式による解の判定を知りたい
- 【数と式】一次方程式の解き方がわからない!移項のコツと分数・小数の攻略まで例題で解説
- 【数と式】因数定理とは?──f(a)=0 ならば (x-a) は因数である定理の使い方を知りたい
- 【数と式】3次式の因数分解の方法は?──因数定理・公式・たすきがけの使い分けを知りたい


















