2倍角の公式ってどう使うの?
2倍角の公式ってどう使うの?いつ使えばいいのか知りたい
2倍角の公式は、角度を2倍にした三角関数を、元の角度で表すための公式です。
2倍角の公式は、角度を2倍にした三角関数を、元の角度で表すための公式です。
sin・cos・tanそれぞれに対応する形があり、もとの角度の関係式に変えることで計算を簡単にできます。
特に、三角方程式や積分で「2乗を含む式を整理したいとき」に活躍します。
暗記するだけでなく、加法定理から導けることを理解しておくと、応用がスムーズになります。
2倍角の公式3種類を確認しよう
まずは、2倍角の公式の全体像を把握しましょう。sin、cos、tanそれぞれに対応する公式があります。
このように3種類の公式が存在します。
2倍角の公式とは?
2倍角の公式の定義
2倍角の公式とは、角 2θの三角関数を角θの三角関数で表す公式です。これにより、2倍の角度を持つ三角関数を、より基本的な角度の三角関数の組み合わせで計算できます。
2倍角の公式を学習することにより、複雑な角度の計算が簡単になったり、微積分や物理学に応用ができたりします。
加法定理との関係
2倍角の公式は、加法定理から導出することができます。加法定理を思い出してみましょう。
この加法定理でα = β = θとすると、自然に2倍角の公式が導かれます。
この関係を理解することで、2倍角の公式が「新しく覚えなければならない独立した公式」ではなく、既に学んだ加法定理の応用であることが分かります。
公式の導出(なぜそうなる?)
加法定理からの導出
2倍角の公式がなぜ成り立つのか、加法定理から丁寧に導出してみましょう。
sin2θの導出
cos2θの導出
tan2θの導出
このように、3つの公式すべてが加法定理から自然に導かれることが分かります。
導出過程を理解することで、公式を機械的に暗記するのではなく、理論的背景とともに理解できます。
公式の使い方(基本〜応用)
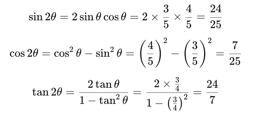
基本例題の確認
まずは基本的な計算例で公式の使い方を確認しましょう。
sin θ
θ
のときのsin2θ, cos2θ, tan2θを求めなさい。
このとき、三角比の相互関係から
ここから、2倍角の公式より
のように、求めることができます。
cosの2倍角公式の3つの形
cosの2倍角公式には、3つの等価な表現があります。
基本形
cos形
sin形
これらを使い分けることで、様々な問題に対応できます。
特に、与えられた式をcosだけの式で表したいときは、cos形、与えられた式をsinだけの式で表したいときは、sin形を使うことがポイントです。
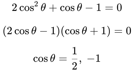
応用1 三角方程式への活用
2倍角を含む三角方程式は、公式を使って基本的な形に変形することで解けます。
θ
であるとき、次の三角方程式を求めましょう。
2倍角の公式より
これより元の式は
θ
より
と求めることができます。三角方程式を解く際は、同じ三角比(今回の問題だとcosθ)で表して考えることがポイントになります。ここでは、2倍角の公式を利用することで、うまく式変形できます。
応用2 半角の公式
と
を利用して変形すると
これらは半角の公式として知られ、積分計算で重要な役割を果たします。
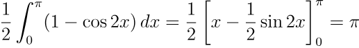
応用3 積分計算での活用
半角の公式は、特に2乗を含む積分で威力を発揮します。
次の式を計算しましょう。
半角の公式より
となることより、元の式は
と変形することができます。この積分を計算しましょう。
まとめ|2倍角の公式の意味と大事なポイント
2倍角の公式は「角2θを角θで表す」公式
→ sin, cos, tan それぞれに対応する形があり、加法定理の応用で導ける。
cosの公式は3パターンある
→基本形・ cos2形・sin2形を状況に応じて使い分けると便利。
使いどころは幅広い
→ 三角比の計算、三角方程式の変形、半角の公式の導出、積分計算など。
→ 特に「2乗を含む式を1次に直す」ときに威力を発揮する。
よくあるつまずきポイント
→ 符号を取り違える(cosの展開でマイナスを忘れるなど)
→ どの形を使うか迷って計算が長くなる
→ 公式を丸暗記して応用できない
定着のコツ
→ 「加法定理から導ける」と理解して覚える
→ cosの3つの形を整理し、問題に応じて選ぶ練習を重ねる
ただ実際の学習では、
- どの形の公式を使えばよいか迷う
- 三角方程式で変形が思いつかない
- 積分の途中で2倍角に変え忘れる
といった壁に直面する高校生は多いです。そんなときに役立つのが 進研ゼミのAI質問機能(お試し無料)。
数学のQ&Aランキング
- 【数列】Σの和の求め方
- 【関数と極限】∞+∞=∞とは
- 【三角関数】0<θ<π/4 の角に対する三角関数での表し方
- 【指数・対数関数】1/√aを(1/a)^r の形になおす方法
- 【図形と計量】180°-θの三角比
全体のQ&Aランキング
- 【動名詞】①<make + O + C >構文の訳し方②間接疑問文における疑問詞の訳し方
- 【数列】Σの和の求め方
- 【関数と極限】∞+∞=∞とは
- 【三角関数】0<θ<π/4 の角に対する三角関数での表し方
- 【指数・対数関数】1/√aを(1/a)^r の形になおす方法
「数と式」Q&A一覧
- 【数と式】「pならばq 」が真のとき,集合Pが集合Qに含まれる理由
- 【数と式】たすきがけのやり方について
- 【数と式】たすきがけはいつ使うのか
- 【数と式】ルートの中が「負の数の2乗」のときの,ルートのはずし方
- 【数と式】因数分解のしかた
- 【数と式】因数分解の式の整理について
- 【数と式】因数分解の式変形について
- 【数と式】因数分解をするときの途中式について
- 【数と式】対称式はどんなとき使うんですか?
- 【数と式】式変形するときの文字の置き換え方
- 【数と式】必要条件・十分条件
- 【数と式】文字を含む式の書き方
- 【数と式】無理数の整数部分,小数部分の求め方
- 【数と式】絶対値と場合分け
- 【数と式】絶対値記号の意味
- 【数と式】絶対値記号を含む方程式・不等式の解き方
- 【数と式】負の値の絶対値の考え方について
- 【数と式】逆・裏・対偶の関係
- 【数と式】連立不等式の解の求め方
- 【数と式】2重根号の計算
- 【数と式】有理数ってどんな数?分数で表せる数の見分け方と無理数との違いが知りたい
- 【数と式】因数分解の公式ってどれを使えばいいの?形の見分け方と“よく出る型”を教えて
- 【数と式】無理数ってどんな数?有理数との違いや身近な例も知りたい
- 【数と式】因数分解はどうやればいい?手順や考え方を知りたい
- 【数と式】命題とは?|定義や命題でない例を知りたい
- 【数と式】降べきの順って?xについてってどういうこと?
- 【数と式】三乗の展開公式は?符号や係数をまちがえずに計算するコツを教えて
- 【数と式】三次式の因数分解のやり方は?公式と因数定理する方法を知りたい
- 【数と式】二次方程式の解の公式は?使い方と判別式による解の判定を知りたい
- 【数と式】一次方程式の解き方がわからない!移項のコツと分数・小数の攻略まで例題で解説
- 【数と式】因数定理とは?──f(a)=0 ならば (x-a) は因数である定理の使い方を知りたい
- 【数と式】3次式の因数分解の方法は?──因数定理・公式・たすきがけの使い分けを知りたい












