点と直線の距離ってどうやって求めるの?
点と直線の距離ってどうやって求めるの?公式の使い方とミスしやすいポイントを知りたい
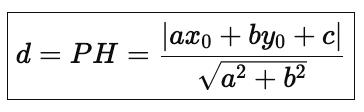
「点と直線の距離」とは、点から直線に垂直に下ろした垂線の長さのことです。高校数学IIの「図形と方程式」では、この距離を計算する便利な公式があります。
「点と直線の距離」とは、点から直線に垂直に下ろした垂線の長さのことです。高校数学IIの「図形と方程式」では、この距離を計算する便利な公式があります。
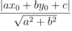
点
と直線 ax + by + c = 0 の距離 d は、次の式で求められます。



この公式は、直線が必ず「ax + by + c = 0」の形で表されていることが条件です。例えば、y = 2x + 1 のような形の直線式は、まず「2x - y + 1 = 0」と変形してから使います。
点と直線の距離公式の導出
公式をただ覚えるだけではなく、その背景や仕組みを理解しておくと応用が効きやすくなります。ここでは、いくつかの導出方法のうち、まずは「三角形の面積」を利用する直感的な方法を紹介します。
三角形の面積から導く方法
点
と直線 ax + by + c = 0 が与えられたとき、直線上の点 Q をひとつ決めます。点 P
と点 Q を結ぶ線分と直線で三角形を作ると、その高さが「点と直線の距離」にあたります。
三角形の面積は
面積 =
× (底辺) × (高さ)
で表せます。ここで底辺を直線上の任意のベクトルの長さ、高さを点から直線に下ろした垂線の長さ、すなわち距離 d とします。
一方、同じ三角形の面積は「座標を使った面積公式」で求められます。
たとえば、直線 ax + by + c = 0 と、その直線上にない点P
を考えます。
注意点
- 「高さ=距離」というイメージを意識すること。
- 直線の式は必ず ax + by + c = 0 の形に変形してから適用する。
- 符号の有無に関係なく「絶対値」をつけることで、距離が必ず正になる。
ベクトルを使った導出
ベクトルの内積や射影を使うと、点と直線の距離をスマートに導けます。理系入試や数学Cの学習にもつながる考え方です。
手順
-
1. 直線 ax + by + c = 0 の法線ベクトルを考える。
- 法線ベクトルは
= (a, b)
- 法線ベクトルは
-
2. 点 P
と、直線上の任意の点 Q(
を結ぶベクトル
=
をとる。
-
3.
は ax + by + c = 0と平行なので、実数 t を用いて
・・・①
と表せる。 -
4. Qが ax + by + c = 0上あるので、
・・・②
-
5. ①式の両辺に対して(a,b)との内積をとると

となる。 -
6. ②式より
を上記の式に代入すると

となる。 -
7.
なので、

以上より、PQの長さすなわちt(a,b) の長さ

が得られる。
ポイント
- 「直線に垂直な方向=法線ベクトル」と結びつけると理解しやすい。
- 内積を利用することで、三角形の面積を使うより計算が短くなる。
- この考え方は 複素数平面 の議論にもつながる(複素数をベクトルとみなして射影を考える応用)。
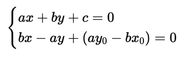
座標と代数計算で求める方法
図形の直感を使わず、連立方程式の解法だけで距離公式を導出します。直線は必ず
ax + by + c = 0
の形に直しておきます。
方針
点 P
から直線 ax + by + c = 0 に下ろした垂線の足を H
とします。
直線 ax + by + c = 0に垂直な直線は,一般に
bx - ay + d = 0
と書けます(傾きで見ると,元の直線の傾きが
なら,垂線の傾きは
になり、この形に一致します。a = 0 や b = 0 の場合もこの式なら一括で扱えます)。
さらに,この垂線が点 P を通るので
連立して垂線の足 H を求める
を解きます (
)




よって




距離を計算(代数計算のみ)

= 

= 
したがって

が座標と連立方程式だけで導出できました。
注意(独自要素)
- 直線は必ず「=0 形」に直してから a,b,cを読む。
- 直線に同時に定数倍(例:k(ax + by + c)=0)しても、分子・分母が同倍率となり 距離は不変。
- a = b = 0は直線でないので除外(問題では出ません)。
点と直線の距離公式の基本的な使い方
公式を覚えたら、実際に計算してみることで使い方を定着させましょう。ここでは、典型的な例題を通して手順を段階的に確認します。
基本例題で手順を確認しよう
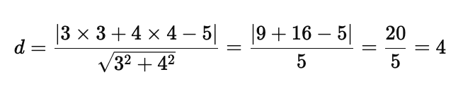
例題
点 P(3,4) と直線 3x + 4y -5 =0の距離を求めよ。
解答

解答の手順まとめ
-
1. 直線を「=0」の形に整える
- すでに 3x + 4y -5 = 0 なのでOK。
- もし y = 2x + 1 のような形なら 2x -y + 1 = 0 に直す必要がある。
-
2. 点を代入して分子を計算
- 3・3 + 4・4 -5 = 20
-
3. 絶対値をつける
- |20| = 20
-
4. 分母を計算
-
5. 割って答えを出す
ポイント
- 必ず「=0」の形にすること。
- 分母は
。ここを忘れやすい。 - 絶対値を忘れると誤答になる。
公式の応用パターンとその解き方
試験では、直線の式がそのまま与えられるとは限りません。点を2つ与えられて「この直線と点の距離を求めよ」と問われるケースもよくあります。ここでは、その典型パターンを整理します。
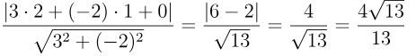
直線が2点によって与えられている場合
例題
点 P(2,1) と、点 A(0,0)、点 B(2,3)を通る直線の距離を求めよ。
手順
-
1. 直線ABの式を求める
-
点 A(0,0)、B(2,3) を通る直線の傾きは
-
よって、この直線は原点を通るので、方程式は y =
x
-
点 A(0,0)、B(2,3) を通る直線の傾きは
-
2. =0 の形に変形


⇒ 

= 0 ⇒ 
(ここで a = 3, b = −2, c = 0) -
3. 距離公式に代入
点 P(2,1)を代入して:

ポイント
- 与えられた2点から直線を導出 → 距離公式に代入の流れが基本。
- 直線の式は必ず 「=0」形に直すことを忘れない。
- 分母
は傾きによらず必ず計算に出てくる。
点と直線の距離の問題を解くうえでよくあるミス
点と直線の距離の公式は便利ですが、計算手順を少し間違えると正しい答えが出ません。ここでは、受験生がよくやりがちな誤りをまとめます。
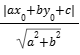
直線の式は必ず=0 の形にする
公式


を使うとき、直線は必ず 「ax + by + c = 0」 の形になっていなければなりません。
誤答例
直線が y = 2x + 1 のとき、そのまま a = 2, b = 1, c = ?と誤って認識して代入してしまう。
→ 実際には、まず式を整理して
y = 2x + 1 ⇒ 2x -y + 1 = 0
と直す必要があります。
正しい手順
- 1. 与えられた直線を必ず「=0」形に直す。
-
2. そのうえで係数 a,b,cを読み取る。
- 例:2x -y + 1 = 0 なら a = 2, b = −1, c = 1
- 3. 公式に代入する。
ポイント
- 「=0」に直す作業を省略すると、分子の式がずれて誤答になる。
- 特に「y = mx + n」形で与えられたときに間違えやすい。
- 本番では、式変形を確認するチェックリストを持っておくと安心。
分母の
を忘れやすい
点と直線の距離公式で最も多い計算ミスのひとつが、分母を忘れることです。
公式は


ですが、急いで解いていると 分子の
だけで止めてしまうケースが目立ちます。
誤答例
点 (3,4)、直線 3x + 4y −5 = 0 の場合:

と計算を終えてしまう。
正しい解答
分母を必ず計算して割る:


ポイント
- 分母
は「直線の傾きを調整する係数」にあたる。 - 分子だけでは「垂直方向の長さ」ではなく、単なる式の代入値になってしまう。
- 本番で忘れないためには、「分子に絶対値、分母にルート」をセットで書くクセをつけよう。
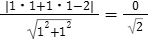
絶対値をつけ忘れて距離が負になる
点と直線の距離は「長さ」なので必ず0以上の値になります。しかし、公式の分子にある

は正にも負にもなり得ます。そのため、絶対値を忘れると負の答えが出てしまうのが典型的なミスです。
誤答例
点(1,1)、直線 x + y −5 = 0の場合:


距離が負になるのは明らかに不自然です。
正しい解答
分子に絶対値をつければ、必ず非負の値になります。

ポイント
- 距離は常に正または0。負の値が出たら絶対値を忘れている証拠。
- 特に、途中の計算でマイナスが出ても慌てず、最後に絶対値を確認する。
- 本番では「分子に絶対値」を公式の一部として必ず書き込むクセをつける。
複素数平面での応用して公式を使う場合
点と直線の距離公式は、座標平面だけでなく「複素数平面」にも応用できます。数Cや難関大の入試問題では、複素数を座標と結びつけて距離を扱うことがあります。
複素平面における距離の表現
複素数 z = x + iy は、平面上の点(x,y)と対応します。この対応を利用すれば、複素数の問題も「座標幾何の問題」に置き換えて処理できます。
例題
複素数 z = 1 + i と直線 x + y = 2 の距離を求めよ。
解答
- 1. 複素数 z = 1 + iを点 (1,1)に対応させる。
-
2. 直線 x + y = 2 を「=0」形に変形する:
x + y -2 = 0
(ここで a = 1, b = 1, c = −2) -
3. 距離公式に代入:

d = 0
→ 点 (1,1)は直線 x + y = 2 上にあるため、距離は0。
ポイント
- 複素数 z = x + iy を「座標 (x,y)」に変換すれば、公式をそのまま適用できる。
- 複素数平面の問題も、結局は「点と直線の距離公式」に帰着する場合が多い。
- 難関大入試では、複素数の式を整理して座標平面に翻訳できるかが重要。
まとめ|点と直線の距離の意味と大事なポイント
点と直線の距離とは、点から直線に垂直に下ろした線の長さ
→ 「最短距離」を求める公式として高校数学IIで必須。
公式を使えばすぐに計算できる
→ 点の座標を直線の式に代入して、分子を絶対値にする。分母には直線の傾きから決まる調整項を入れて割る。この流れで答えが出る。
導出の仕組みを知ると応用が効く
→ 三角形の面積を利用する方法、ベクトルの射影を使う方法、連立方程式で垂線の足を求める方法などがある。
よくあるミスに注意
→ 直線の式は必ず「イコールゼロ」の形に直す。
→ 分母を忘れない。
→ 絶対値を忘れず、距離は必ず正の値にする。
応用範囲は広い
→ 与えられた二点から直線を導いて距離を求める問題や、複素数平面に応用する問題も出題される。
ただ実際の学習では、
- 直線の式を「イコールゼロ」に直し忘れる
- 分母の計算を省いてしまう
- 絶対値をつけ忘れて距離が負になる
といった壁に直面する高校生は多いです。そんなときに役立つのが進研ゼミのAI質問機能(お試し無料)。
数学のQ&Aランキング
- 【数列】Σの和の求め方
- 【関数と極限】∞+∞=∞とは
- 【三角関数】0<θ<π/4 の角に対する三角関数での表し方
- 【指数・対数関数】1/√aを(1/a)^r の形になおす方法
- 【図形と計量】180°-θの三角比
全体のQ&Aランキング
- 【動名詞】①<make + O + C >構文の訳し方②間接疑問文における疑問詞の訳し方
- 【数列】Σの和の求め方
- 【関数と極限】∞+∞=∞とは
- 【三角関数】0<θ<π/4 の角に対する三角関数での表し方
- 【指数・対数関数】1/√aを(1/a)^r の形になおす方法
「数と式」Q&A一覧
- 【数と式】「pならばq 」が真のとき,集合Pが集合Qに含まれる理由
- 【数と式】たすきがけのやり方について
- 【数と式】たすきがけはいつ使うのか
- 【数と式】ルートの中が「負の数の2乗」のときの,ルートのはずし方
- 【数と式】因数分解のしかた
- 【数と式】因数分解の式の整理について
- 【数と式】因数分解の式変形について
- 【数と式】因数分解をするときの途中式について
- 【数と式】対称式はどんなとき使うんですか?
- 【数と式】式変形するときの文字の置き換え方
- 【数と式】必要条件・十分条件
- 【数と式】文字を含む式の書き方
- 【数と式】無理数の整数部分,小数部分の求め方
- 【数と式】絶対値と場合分け
- 【数と式】絶対値記号の意味
- 【数と式】絶対値記号を含む方程式・不等式の解き方
- 【数と式】負の値の絶対値の考え方について
- 【数と式】逆・裏・対偶の関係
- 【数と式】連立不等式の解の求め方
- 【数と式】2重根号の計算
- 【数と式】有理数ってどんな数?分数で表せる数の見分け方と無理数との違いが知りたい
- 【数と式】因数分解の公式ってどれを使えばいいの?形の見分け方と“よく出る型”を教えて
- 【数と式】無理数ってどんな数?有理数との違いや身近な例も知りたい
- 【数と式】因数分解はどうやればいい?手順や考え方を知りたい
- 【数と式】命題とは?|定義や命題でない例を知りたい
- 【数と式】降べきの順って?xについてってどういうこと?
- 【数と式】三乗の展開公式は?符号や係数をまちがえずに計算するコツを教えて
- 【数と式】三次式の因数分解のやり方は?公式と因数定理する方法を知りたい
- 【数と式】二次方程式の解の公式は?使い方と判別式による解の判定を知りたい
- 【数と式】一次方程式の解き方がわからない!移項のコツと分数・小数の攻略まで例題で解説
- 【数と式】因数定理とは?──f(a)=0 ならば (x-a) は因数である定理の使い方を知りたい
- 【数と式】3次式の因数分解の方法は?──因数定理・公式・たすきがけの使い分けを知りたい















