素因数分解のやり方やコツは?
素因数分解が苦手です。計算のやり方やコツがよく分かりません。テストでどんな問題が出ても解けるようにしたいのですが、どう勉強すればいいですか。
A:素因数分解とは自然数を素数の積で表すこと
素因数分解とは自然数を素数の積で表すこと
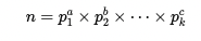
素因数分解とは、自然数を素数(1とその数自身でしか割れない数)の積に分けることです。たとえば、

のように表せます。
素因数分解は中学でも学びますが、高校数学では「整数問題や証明問題の基礎」としてさらに重要になります。
- 最大公約数・最小公倍数の計算
- 約数の個数や和を求める問題
- 整数の性質を扱う証明(背理法・整除の議論)
これらはすべて素因数分解を前提に成り立っています。さらに、「分解の仕方は一意に定まる」(素因数分解の一意性)は整数問題で欠かせない性質です。
高校数学で素因数分解をマスターするには、ただ分ける練習だけでなく、その結果をどう利用するかを意識して学習しましょう。
これなら「定義+例」だけで終わらず、高校での必然性・出題場面に直結する形になります。
なぜ素因数分解が重要なのか?
素因数分解はただの計算テクニックではなく、整数の性質を理解する出発点です。定期テストから入試まで、幅広い場面で活用されます。
① 公約数・公倍数を求めるときに必須
最大公約数(GCD)や最小公倍数(LCM)を出すとき、素因数分解は最も効率的な方法です。例えば「GCD(84, 210)」を求める場合:


→ 共通部分(
)を取れば GCD = 42。このように指数の大小を比べるだけで、公約数・公倍数が一瞬で分かります。
② 数の性質を調べる出発点
素因数分解を行うと、その数の「内部構造」が明らかになり、さまざまな性質を一瞬で判断できます。
- 平方数・立方数の判定:指数がすべて偶数なら平方数、すべて3の倍数なら立方数。
例:72 = 23 × 32
→ 指数に奇数が含まれるため平方数ではない。 - 約数の個数や和の計算:素因数分解を使えば、整数問題や入試で頻出の「約数の個数」「約数の和」を公式的に処理できる。
- 整除性や証明問題:ある整数がnで割り切れるかどうかの判定や、背理法を使う証明でも素因数分解が土台になる。
このように、素因数分解は「偶数・奇数」の判別だけでなく、高校数学で扱う整数問題全般の出発点となります。
③ 入試の整数問題に直結
入試の整数問題では、次のような形式が頻出です。
- 整除の条件:「nが素数pで割り切れることを示せ」
- 約数関連:「nの約数の個数を求めよ」「nの約数の和を求めよ」
- 倍数・性質:「ある数列の項がmの倍数になる条件を求めよ」
これらはいずれも 素因数分解を出発点 にしなければ解けません。基礎が曖昧だと、応用問題で必ずつまずきます。
たとえば「nの約数の個数を求めよ」という典型問題は、

と素因数分解できれば、約数の個数は以下のように、一瞬にして計算できます。

④ 数学の「唯一分解定理」としての意義
素因数分解には「自然数はただ1通りにしか素因数分解できない」という重要な性質があります。これを 素因数分解の一意性 と呼びます。
この性質があるからこそ、
- 最大公約数・最小公倍数の計算が正しくできる
- 約数の個数や和の公式が成り立つ
- 整数問題の証明に安心して使える
つまり、高校数学で扱う整数分野の基盤はすべて、「唯一分解定理」に支えられています。
素因数分解の基本的な方法
素因数分解を正しく行うには、小さい素数から順に試す・割れる限り続ける・指数でまとめるの3ステップが基本です。この流れを習慣化すれば、どんな整数でも迷わず分解できます。
1. 小さい素数から割る
自然数を素因数分解するときは、まず 小さい素数(2, 3, 5, 7, 11 …) から順に割り算を試みます。素数は無限に続きますが、実際には
までを調べられれば十分 です。
例:360 の平方根は約 18.9 → 19 以下の素数を確認すればよい。
→ これは「もしnが合成数なら、必ず
以下の因数を持つ」という整数の基本性質に基づいています。さらに、2や5には判定の近道があります。
- 2で割れるか:偶数なら必ず割れる
- 5で割れるか:末尾が0か5なら割れる
こうした「整除判定」を組み合わせると、効率よく分解できます。
2. 割り切れる限り続ける
1回割って終わるのではなく、割れる限り繰り返すのが鉄則です。
例:360 ÷ 2 = 180 ,180÷ 2 = 90,90 ÷ 2 = 45 →360= 2³ × 45 まで進む
こうすることで指数が自然に現れ、正しい分解が保証されます。
3. 指数を使った表記
素因数分解の結果は、指数を使って整理します。

指数表記にすると 数の構造が一目で分かる だけでなく、
- 約数の個数公式
- 約数の和の公式
- 整数問題の証明
といった高校数学で頻出のテーマにそのままつながります。
例題
実際の問題で手を動かすと、素因数分解の手順や使い道が自然と身につきます。定期テストや入試に出る典型パターンで練習しましょう。
例題:60を素因数分解せよ

解説:
- 素因数分解の基本手順を確認する例
- 割れる素数を小さい順に試し、割れる限り続ける
- 最後は 指数を使った表記にまとめることで、後の約数公式や性質の判定に使いやすくなる
例題2:120の約数の個数を求めよ

解説:
- 素因数分解を「約数の個数公式」につなげる典型例
- 指数に1を足して掛け合わせるだけで答えが出せる
- 計算作業を効率化できるので、定期テストや入試の整数問題で頻出
例題3(平方数の判定):900は平方数かどうか判定せよ

解説
- 素因数分解すると、すべての指数が偶数
- よって 900は平方数
- 高校数学の整数問題では「平方数かどうか」を判定する問題がよく出る
例題4:2310が11で割り切れるかどうか判定せよ

解説
- 素因数分解の結果に「11」が含まれている → 割り切れる
- 「ある整数が特定の素数で割り切れるか」を証明する際の基本的アプローチ
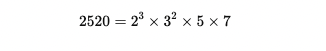
例題5:2520の約数の和を求めよ


解説
- 素因数分解を「約数の和の公式」に応用
- 入試の整数問題や数列の問題で頻出の典型テーマ
素因数分解の応用問題(定期テスト・入試レベル)
応用問題では、素因数分解をGCD・LCMや整数条件の証明、多項式の因数分解に直結させます。基礎を応用できるかどうかが得点差になります。
① 最大公約数(GCD)・最小公倍数(LCM)の計算
素因数分解の最も基本的な使い道です。
それぞれの数を素因数分解し、指数の小さい方をとればGCD、指数の大きい方をとればLCMが求められます。定期テストの基礎問題から入試整数問題まで幅広く出題されます。
例題
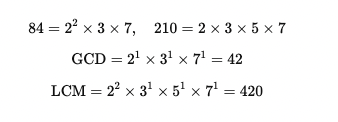
84と210の最大公約数・最小公倍数を求めよ。

補足:2数を同時に素因数分解していくとわかりやすい

GCDは青で囲まれた
LCMは赤で囲まれた
解説
- GCDは「共通部分の最小指数」をとる
- LCMは「すべての素数の最大指数」をとる
- 指数比較だけで瞬時に計算できるのが素因数分解の強み
② 因数分解(多項式)とのつながり
素因数分解は整数だけでなく、多項式の因数分解や整数条件の問題にも直結します。入試では「式が素数になる条件を求めよ」という形で頻出です。
例題

解答

解説
- 「素数 = 1と自分自身以外で割れない」という定義を使う
- 積が素数になる → 因数の一方が1である必要がある
- 典型的な 整数条件+因数分解 の融合問題
つまずきやすいポイントと克服法
素因数分解はシンプルに見えて、「どこから割るか」「素数を覚えていない」「指数に直し忘れる」といった落とし穴があります。典型的なつまずき方を知り、克服法を身につけることが大切です。
大きな数で迷う
- 理由:「どこから割ればいいか分からない」「候補が多すぎる」
- 克服法:小さい素数(2,3,5,7)から順に試す。判定のコツを覚えると楽。
- 2:偶数
- 3:桁和が3の倍数
- 5:末尾が0か5
- 7:
まで割り算
素数の見分けが曖昧
- 理由:素数表を覚えていないと割る対象が定まらない
- 克服法:30までの素数を暗記。余裕があれば100まで表で確認。「平方根まで」で十分と理解
指数表記に慣れていない
- 理由:同じ数を並べたままにしてしまい、時間切れやミスに
- 克服法:必ず指数に直す習慣を


→ GCD・LCMや約数計算にもそのまま使える。
まとめ|素因数分解のやり方と大事なポイント
素因数分解は「自然数を素数の積に分ける操作」
→ GCD・LCMや約数の個数、平方数判定など整数問題の入口となる基礎。
小さい素数から順に割る
→ 2,3,5,7の整除判定で効率化。
指数表記に直す
→
や
にまとめると、そのまま公式や証明に使える。
「素因数分解の一意性」が整数分野全体の土台
→ 公約数・公倍数や整数証明が成り立つ理由になる。
ただ実際の学習では、
- どの素数から試せばいいか迷う
- 素数を覚えていなくて手が止まる
- 指数に直し忘れてミスしてしまう
といった壁に直面する高校生は多いです。そんなときに役立つのが 進研ゼミのAI質問機能(お試し無料)。
数学のQ&Aランキング
- 【数列】Σの和の求め方
- 【関数と極限】∞+∞=∞とは
- 【三角関数】0<θ<π/4 の角に対する三角関数での表し方
- 【指数・対数関数】1/√aを(1/a)^r の形になおす方法
- 【図形と計量】180°-θの三角比
全体のQ&Aランキング
- 【動名詞】①<make + O + C >構文の訳し方②間接疑問文における疑問詞の訳し方
- 【数列】Σの和の求め方
- 【関数と極限】∞+∞=∞とは
- 【三角関数】0<θ<π/4 の角に対する三角関数での表し方
- 【指数・対数関数】1/√aを(1/a)^r の形になおす方法
「数と式」Q&A一覧
- 【数と式】「pならばq 」が真のとき,集合Pが集合Qに含まれる理由
- 【数と式】たすきがけのやり方について
- 【数と式】たすきがけはいつ使うのか
- 【数と式】ルートの中が「負の数の2乗」のときの,ルートのはずし方
- 【数と式】因数分解のしかた
- 【数と式】因数分解の式の整理について
- 【数と式】因数分解の式変形について
- 【数と式】因数分解をするときの途中式について
- 【数と式】対称式はどんなとき使うんですか?
- 【数と式】式変形するときの文字の置き換え方
- 【数と式】必要条件・十分条件
- 【数と式】文字を含む式の書き方
- 【数と式】無理数の整数部分,小数部分の求め方
- 【数と式】絶対値と場合分け
- 【数と式】絶対値記号の意味
- 【数と式】絶対値記号を含む方程式・不等式の解き方
- 【数と式】負の値の絶対値の考え方について
- 【数と式】逆・裏・対偶の関係
- 【数と式】連立不等式の解の求め方
- 【数と式】2重根号の計算
- 【数と式】有理数ってどんな数?分数で表せる数の見分け方と無理数との違いが知りたい
- 【数と式】因数分解の公式ってどれを使えばいいの?形の見分け方と“よく出る型”を教えて
- 【数と式】無理数ってどんな数?有理数との違いや身近な例も知りたい
- 【数と式】因数分解はどうやればいい?手順や考え方を知りたい
- 【数と式】命題とは?|定義や命題でない例を知りたい
- 【数と式】降べきの順って?xについてってどういうこと?
- 【数と式】三乗の展開公式は?符号や係数をまちがえずに計算するコツを教えて
- 【数と式】三次式の因数分解のやり方は?公式と因数定理する方法を知りたい
- 【数と式】二次方程式の解の公式は?使い方と判別式による解の判定を知りたい
- 【数と式】一次方程式の解き方がわからない!移項のコツと分数・小数の攻略まで例題で解説
- 【数と式】因数定理とは?──f(a)=0 ならば (x-a) は因数である定理の使い方を知りたい
- 【数と式】3次式の因数分解の方法は?──因数定理・公式・たすきがけの使い分けを知りたい












