加法定理とは?
加法定理って何?テストや受験でどう使うの?
進研ゼミからの回答!
加法定理とは、数学Ⅱの必修範囲で、角の和や差を既知の角で表す公式です。
たとえば

上記のように、75°や15°のような直接値を覚えていない角度を、「既知の角(30°や45°など)のsin,cosの組み合わせ」に分解できます。
加法定理は定期テストや大学入試で必ずと言っていいほど登場します。基本公式を使いこなせれば、次のような典型問題に対応できるようになります。
- 角度計算:sin 75°やcos 15°など「既知角の組み合わせ」で値を求める
- 公式の導出:2倍角・半角公式を証明し、計算問題や積分の準備に使う
- 関数の変形:
の形に直して最大・最小問題を解く
三角関数は数学Ⅱの中でも入試頻出分野です。加法定理はそこに直結する基礎公式なので、暗記するだけでなく「使って解ける」レベルまで練習することが重要です。
【公式まとめ表】加法定理の覚え方のポイント

図や式を使った加法定理の証明
代数的な証明(教科書的アプローチ)
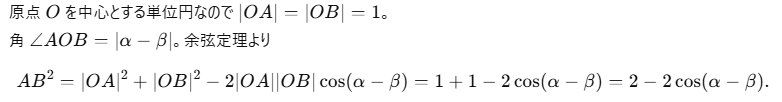
単位円周上の2点A,Bを次のように定めます。

ABの距離を2通りに表し、一致させることで

を導きます。
1)距離公式でAB2を求めます。

2)余弦定理AB2を求めます。

3)1)と2)を一致させます。

4)cos(α+β)を導きます。

5)sin(α+β)を導きます。

にcos(U-V)=cosUcosV+sinUsinVを適用する。

とすると

6)tan(α+β)を導きます。

βの代わりに-βを用いることですべての公式を導くことができます。
ベクトルを使ったスマートな証明(発展)
加法定理の内、次の式を導きます。

準備

内積を

と表す一方で、成分計算で

とも書けるので、両者を一致させると

が導かれます。
そのほかの公式は上記証明と同様です。
加法定理から派生した公式
加法定理は、ここからさらに便利な公式を導く基礎になります。定期テストや入試では 2倍角・半角・合成 が頻出です。特に数学Ⅲの積分では、これらの公式を自由に使いこなせないと計算が進みません。
すべての公式は 加法定理から導くことができる ので、「丸暗記」ではなく つながりを理解して覚えること が大切です。
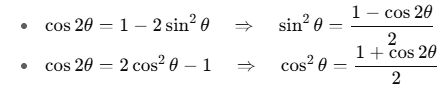
2倍角の公式を証明する

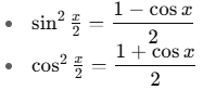
半角の公式を証明する
2倍角公式を変形すれば、半角公式が得られます。

ここで
と置き換えると、

三角関数の合成(Rsin(x+α)型への変形)
例:
に書き換えます。
一般的に

が成立します。右辺で加法定理を用いると左辺が導かれます。
ここで例に答えると、ここでは
です
よって

です。したがってα=60°となります。
よって

と変形できます。
よくあるつまずきポイントQ&A
- Q1:符号を間違えやすい → 「cosは逆、sinは同じ」をセットで覚えましょう
- Q2:tanの分母の符号を忘れる → 図を書いて角度のイメージで確認することが大切です。
- Q3:合成のとき角αを取り違える → 「cosとsinの係数比」から丁寧に計算しましょう。具体的に角度αが定まるときがあります。
練習問題にチャレンジ!(答案付き)
問題1:sin75°を加法定理で求めよ
解答

問題2:cos15°を加法定理で求めよ
解答

問題3:tan(A+B)の値をtanA=2,tanB=3を用いて求めよ
解答

問題4:
のときsin2θを求めよ
解答
θの範囲は第2象限なのでcosθ<0

問題5:
の最大値を求めよ。
解答
合成して考える。

ここで

したがって

ただし、
よって1≦sin(x+α)≦1より最大値は5です。
まとめ|加法定理の覚え方や大事なポイント
- 加法定理は「角の和や差を展開する公式」
→ 三角関数の計算や変形の入口となる重要な公式。 - sinは符号が同じ、cosは符号が逆、tanは分母に注意
→ 符号ミスや分母の見落としが最も多いエラー。 - 証明は2種類の視点で理解するのが効果的
- 図形・ベクトルで直感的にイメージ
- 余弦定理で代数的にしっかり押さえる
- 具体例で公式を使い慣れることが重要
→ sin75°,cos15°,tan75°のような典型問題を解き直す。 - 派生公式(2倍角・半角・合成)は必ず加法定理から導ける
→ 「なぜ成り立つか」まで理解すると入試レベルでも安心。 - 最大・最小問題は合成を使うと見通しが良くなる
→ αsinx+bcosx=Rsin(x+α) の形をマスターしておく。
加法定理の公式や証明方法、派生公式(2倍角・半角・合成)まで学べても、
- 「sinは同符号/cosは逆符号を、試験になると混乱してしまう」
- 「証明の流れを覚えたつもりでも、答案で途中を飛ばしてしまう」
- 「練習問題を解いたが、自分の解答が本当に正しいか不安」
という壁に直面する高校生は多いです。
そんなときに役立つのが 進研ゼミのAI質問機能(お試し無料)。
数学のQ&Aランキング
- 【数列】Σの和の求め方
- 【関数と極限】∞+∞=∞とは
- 【三角関数】0<θ<π/4 の角に対する三角関数での表し方
- 【指数・対数関数】1/√aを(1/a)^r の形になおす方法
- 【図形と計量】180°-θの三角比
全体のQ&Aランキング
- 【動名詞】①<make + O + C >構文の訳し方②間接疑問文における疑問詞の訳し方
- 【数列】Σの和の求め方
- 【関数と極限】∞+∞=∞とは
- 【三角関数】0<θ<π/4 の角に対する三角関数での表し方
- 【指数・対数関数】1/√aを(1/a)^r の形になおす方法
「数と式」Q&A一覧
- 【数と式】「pならばq 」が真のとき,集合Pが集合Qに含まれる理由
- 【数と式】たすきがけのやり方について
- 【数と式】たすきがけはいつ使うのか
- 【数と式】ルートの中が「負の数の2乗」のときの,ルートのはずし方
- 【数と式】因数分解のしかた
- 【数と式】因数分解の式の整理について
- 【数と式】因数分解の式変形について
- 【数と式】因数分解をするときの途中式について
- 【数と式】対称式はどんなとき使うんですか?
- 【数と式】式変形するときの文字の置き換え方
- 【数と式】必要条件・十分条件
- 【数と式】文字を含む式の書き方
- 【数と式】無理数の整数部分,小数部分の求め方
- 【数と式】絶対値と場合分け
- 【数と式】絶対値記号の意味
- 【数と式】絶対値記号を含む方程式・不等式の解き方
- 【数と式】負の値の絶対値の考え方について
- 【数と式】逆・裏・対偶の関係
- 【数と式】連立不等式の解の求め方
- 【数と式】2重根号の計算
- 【数と式】有理数ってどんな数?分数で表せる数の見分け方と無理数との違いが知りたい
- 【数と式】因数分解の公式ってどれを使えばいいの?形の見分け方と“よく出る型”を教えて
- 【数と式】無理数ってどんな数?有理数との違いや身近な例も知りたい
- 【数と式】因数分解はどうやればいい?手順や考え方を知りたい
- 【数と式】命題とは?|定義や命題でない例を知りたい
- 【数と式】降べきの順って?xについてってどういうこと?
- 【数と式】三乗の展開公式は?符号や係数をまちがえずに計算するコツを教えて
- 【数と式】三次式の因数分解のやり方は?公式と因数定理する方法を知りたい
- 【数と式】二次方程式の解の公式は?使い方と判別式による解の判定を知りたい
- 【数と式】一次方程式の解き方がわからない!移項のコツと分数・小数の攻略まで例題で解説
- 【数と式】因数定理とは?──f(a)=0 ならば (x-a) は因数である定理の使い方を知りたい
- 【数と式】3次式の因数分解の方法は?──因数定理・公式・たすきがけの使い分けを知りたい












